β-萘醌结构式

1,4-萘醌
图片尺寸271x341
萘中药化学对照品分子结构图
图片尺寸412x224
14萘醌结构式
图片尺寸605x375
β-萘醌又名1,2-萘醌或1,2-萘二酮是一种化学物质,分子式是c10h6o2
图片尺寸426x255
2,3-二氯-1,4-萘醌结构式
图片尺寸283x227
1,2-萘醌
图片尺寸300x300
36%lawsone 是一种具有口服活性的萘醌染料,可从lawsonia inermis的
图片尺寸600x600
5℃ 分子结构式: 性质: 萘醌通常指1 ,4-萘醌.
图片尺寸193x72
《中国药典》 采用紫外分光光度法测定药材中羟基萘醌总含量
图片尺寸570x345
1,4-萘醌 - 上海阿拉丁生化科技股份有限公司 - 阿拉丁
图片尺寸300x300
结构: o o o o o o o o 苯醌 萘醌 蒽醌 菲醌
图片尺寸1080x810
(z)-2,3-二甲基-1,4-萘醌结构式
图片尺寸227x227![[卡式炉r]苯醌只有一个环 分为 对苯醌 和 邻苯醌 [折叠椅r]萘醌](https://i.ecywang.com/upload/1/img2.baidu.com/it/u=2130656729,1702925093&fm=253&fmt=auto&app=138&f=JPEG?w=500&h=707)
[卡式炉r]苯醌只有一个环 分为 对苯醌 和 邻苯醌 [折叠椅r]萘醌
图片尺寸1080x1527
2,3,6-三甲基-1,4-萘醌结构式
图片尺寸227x227
83-72-7,2-羟基-1,4-萘醌,2-hydroxy-1,4-naphthoquinone,adamas,855
图片尺寸617x537
2,3-二甲氧基-1,4-萘醌结构式
图片尺寸215x176
萘醌重氮类光敏聚合物
图片尺寸234x268
2-甲基-1,4-萘醌
图片尺寸268x268
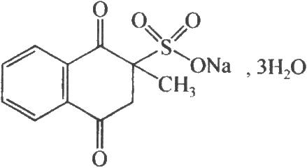
1.2结构式menadione sodium bisulfite1.1.
图片尺寸439x240
其中都含有醌式结构,主要分为苯醌,萘醌,菲醌和蒽醌四种类型
图片尺寸890x446