乙酰丙酮别名

专业批发 化学试剂 优级纯 乙酰丙酮 gr500ml/瓶
图片尺寸1920x1920
乙酰丙酮钌cas#14284-93-6
图片尺寸581x400
天津乙酰丙酮
图片尺寸1280x1280
乙酰丙酮铝
图片尺寸960x1280
乙酰丙酮
图片尺寸310x232
乙酰丙酮 分析纯500ml/瓶 cas号123-54-6 现货批发 快递全国
图片尺寸638x693
乙酰丙酮镨(iii)
图片尺寸400x400
乙酰丙酮
图片尺寸3264x2448
可交易【西陇试剂代理】乙酰丙酮分析纯ar500ml/瓶 化学试剂
图片尺寸750x750
天津乙酰丙酮
图片尺寸750x750
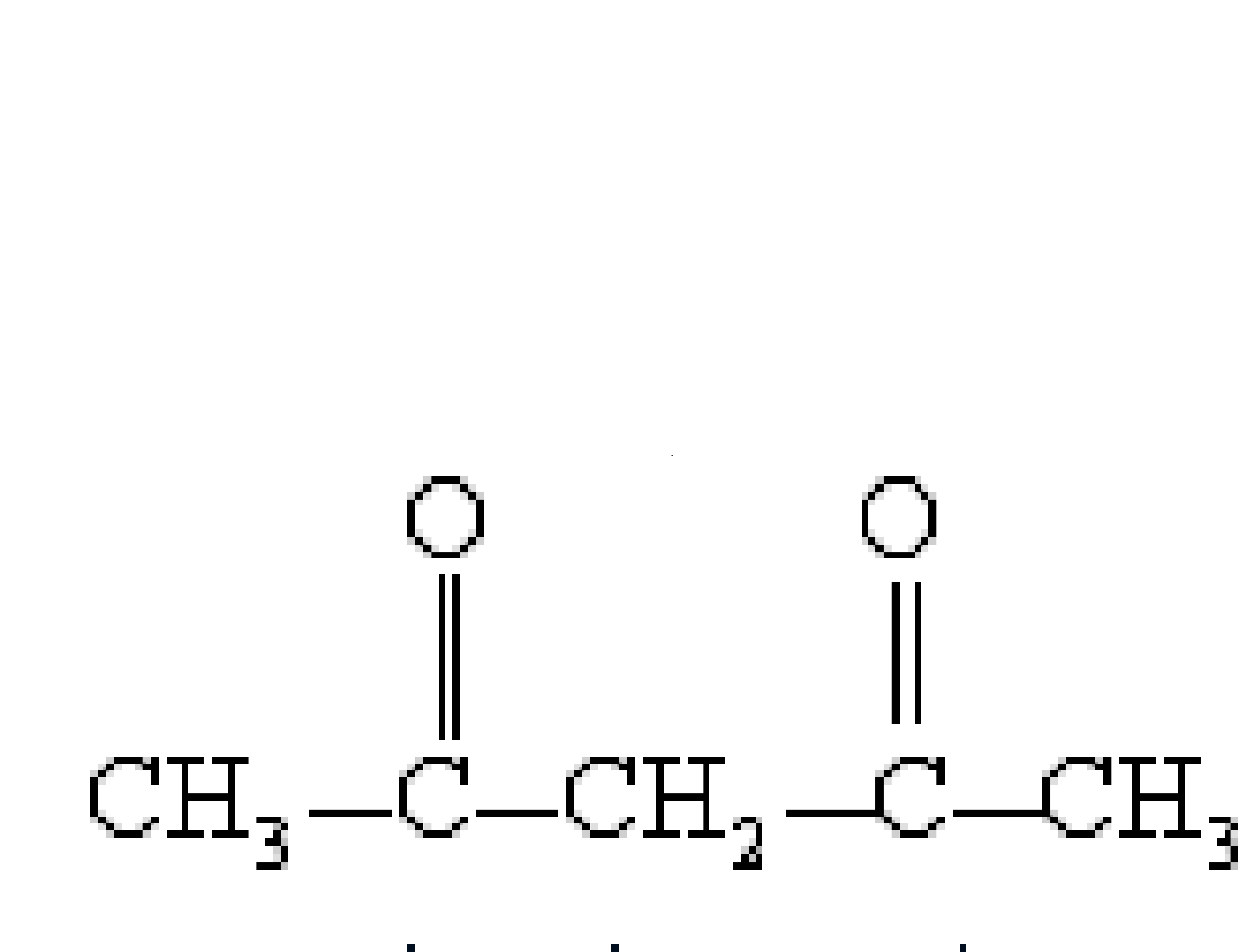
p>乙酰丙酮(acetylacetone)是一种 a target="_blank" href="/item
图片尺寸6141x4665
乙酰丙酮(石材)
图片尺寸283x227
乙酰丙酮 化学试剂分析纯ar500ml/瓶装 cas:123-54-6科研试剂现货
图片尺寸750x750
乙酰丙酮|2,4-pentanedione|123-54-6|merck|100 ml
图片尺寸782x327
乙酰丙酮山东聊城厂家直销
图片尺寸600x600
乙酰丙酮 化学试剂分析纯ar500ml 瓶装 cas 123-54-6科研试剂现货
图片尺寸800x800
乙酰丙酮镁
图片尺寸600x599
乙酰丙酮
图片尺寸570x814
乙酰丙酮钙
图片尺寸740x810
乙酰丙酮氧钒made in china-盖德化工网
图片尺寸439x307