二叉树模型

单步二叉树期权定价与风险中性概率
图片尺寸988x538
数据结构之二叉树
图片尺寸772x543
1以两步二叉树欧式看涨期权定价为例
图片尺寸1594x900
【python搞量化】二叉树与二项期权定价模型bopm
图片尺寸1162x713
教学研究 教学案例/设计 第七章:期权定价ppt 股票价格的二叉树模型
图片尺寸1080x810
lecture 7 二叉树模型ppt
图片尺寸1080x810
分层softmax的二叉树
图片尺寸1841x1097
完全二叉树
图片尺寸1895x1217
c语言数据结构,这个二叉树遍历为什么用这个程序可以遍历?
图片尺寸768x1024
平衡二叉树的实现(c/c )
图片尺寸4016x2248
二叉树 看跌期权定价
图片尺寸612x420
数据结构(一):二叉树
图片尺寸865x503
二,二叉树模型
图片尺寸640x360
java编程的逻辑 (42) - 排序二叉树
图片尺寸2216x992
二叉树(二叉树的概念及性质证明)
图片尺寸423x274
期权的二叉树定价模型 - 知乎
图片尺寸1342x840
一致性二叉树分布模型figure distribution model of
图片尺寸411x370
二叉树
图片尺寸700x447
数据结构——二叉树
图片尺寸1434x1120
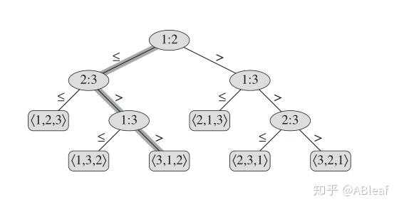
简单地说,决策树是一棵完全二叉树,其描述的算法过程通常对应一组选择
图片尺寸560x291