二溴丁二酸

琥珀酸——琥珀抗衰老的秘诀
图片尺寸600x801
下列条件:①能发生银镜反应,②酸性条件下水解产物物质的量之比为2:1
图片尺寸357x388
丁二酸 110-15-6 分析纯ar99.5% 500g/瓶-阿里巴巴
图片尺寸800x800
丁二酸(琥珀酸)cp分析纯 100克/瓶 助焊剂助焊酸110-15-6-阿里巴巴
图片尺寸800x800
丁二酸
图片尺寸900x900
答:您找西陇化工广州公司,他自己有一条硝酸银产线!2017年3
图片尺寸2448x3264
二巯丁二酸胶囊新亚闵行
图片尺寸600x600
食品科学东北林业大学张莹副研究员等马齿苋抑菌活性成分研究进展
图片尺寸640x546
二溴丁二酸
图片尺寸770x526
【深圳市金腾龙实业有限公司】氟表面活性剂_有机全
图片尺寸768x897
这5大领域未来离不开合成生物学产业
图片尺寸1824x880
23二溴丁二酸
图片尺寸720x720
丁二酸二钠|disodium succinate|150-90-3|greagent|≥99.0%|ar|100g
图片尺寸992x474
马齿苋中含有的有机酸类化合物包括l-羟基丁二酸(l-苹果酸)(130),l
图片尺寸567x452
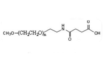
mpegsaa
图片尺寸344x190
10000,20000(可按需定制)中文名称:羟基聚乙二醇酰胺琥珀酰亚胺丁二酸
图片尺寸478x200
合成生物产业化加速生物基材料有望推动化工行业绿色发展
图片尺寸788x398
pm厂家国标-pm厂家-辰仕
图片尺寸480x480
丁二酸 110-15-6 分析纯ar 500g/瓶
图片尺寸900x900
丁二酸
图片尺寸260x260