亚胺醌结构

68-76-8 三亚胺醌 结构式图片
图片尺寸300x300
亚胺-醌类结构的改造策略
图片尺寸610x237
乙酰亚胺醌会耗竭肝內储存的谷胱甘肽,进而与某些肝脏蛋白的巯基结构
图片尺寸1092x792
醌#醌#化学#大学 - 抖音
图片尺寸864x1920
三亚胺醌quadro strutturale|68-76-8quadro strutturale
图片尺寸605x375
结构: o o o o o o o o 苯醌 萘醌 蒽醌 菲醌
图片尺寸1080x810
(图片引自wiki词条melanin ) 这是真黑素eumelamin的结构式的一部分
图片尺寸407x549
黑色素_结构_文章
图片尺寸763x1089
而且在2015年《化妆品安全技术规范》中氢醌也被定位为禁用成分,咱就
图片尺寸1079x669
大黄素型蒽醌母核上的羟基分布情况是 a. 在一个苯环的β位 b.
图片尺寸457x198
2,6-二氯醌氯亚胺 , ar
图片尺寸380x252
n-(1,3-二甲丁基)-n-苯基对醌二亚胺结构式图片|52870-46-9结构式
图片尺寸605x375
6ppd醌
图片尺寸399x385
e收藏本题40(单项选择题)对乙酰氨基酚在体内会转化生成乙酰亚胺醌
图片尺寸352x212
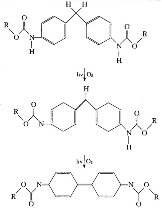
mdi氧化形成的醌亚胺结构这种化学反应在两个芳环之间形成共轭体系,称
图片尺寸537x689
0〈y〈l;所述a,b为连接萘酰亚胺单元和并噻吩单元 的共辄单元结构;r1
图片尺寸1859x1714
醌类具 有共轭酮的结构,能吸收可见光.
图片尺寸325x278
免费文档 所有分类 高等教育 理学 天然药物化学-醌类4ppt 一,结构
图片尺寸1080x810
因为其结构上的前醌结构在紫外线照射下产生醌亚胺变色基团产生黄变
图片尺寸1352x540
有结构式,名字就一目了然了 az_56056 是2,6-二溴醌-4-氯亚胺 nb
图片尺寸378x255