伯努利双纽线

数学史话之全家都是数学家伯努利家族
图片尺寸640x363
伯努利双纽线:美学与数学的交汇点
图片尺寸1169x533
伯努利双纽线
图片尺寸621x375
双纽线也叫伯努利双纽线,是摆线的一种,并且在数学领域用途非常广泛.
图片尺寸603x210
双纽线的基本性质.加入复杂情景,多了解一些吧#关注我每天坚持 - 抖音
图片尺寸1440x1859
伯努利双纽线
图片尺寸720x228
直角坐标系下,半径为a的伯努利双纽线是由下述四次多项式方程 (x y)=a
图片尺寸360x249
伯努利双纽线
图片尺寸777x276
极坐标与定积分的应用
图片尺寸1120x840
链接至"伯努利双纽线"的页面
图片尺寸800x300
双纽线也叫伯努利双纽线,是摆线的一种,并且在数学领域用途非常广泛.
图片尺寸309x343
贝努利双纽线.gif
图片尺寸303x367
p>双纽线,也称伯努利双纽线,设定线段ab长度为2a,若动点m满足ma*mb=a
图片尺寸644x546
伯努利双纽线:美学与数学的交汇点
图片尺寸426x314
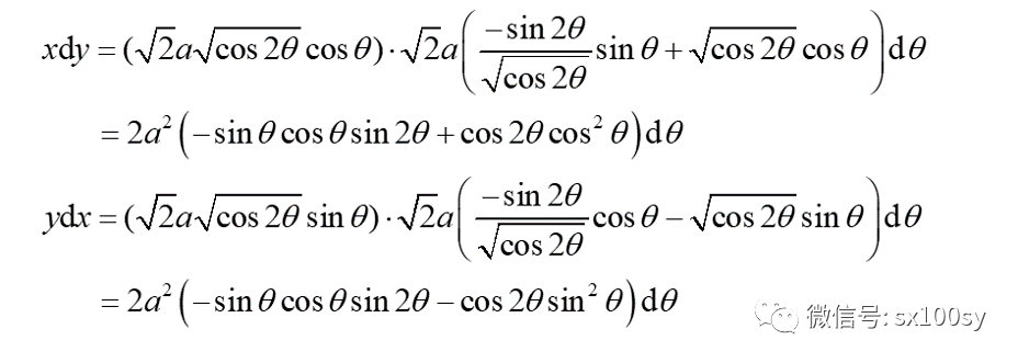
微分几何伯努利双纽线的不对称参数方程
图片尺寸1000x730
双纽线 - 数学百科
图片尺寸572x316
伯努利双纽线
图片尺寸594x380
伯努利双纽线
图片尺寸690x598
伯努利双纽线
图片尺寸928x331
双纽线
图片尺寸486x315