伯努利模型

朴素贝叶斯模型多元伯努利事件模型多项式事件模型multivariate
图片尺寸954x591
科技制作小发明手工实验玩具科学电动空气悬浮球模型伯努利原理
图片尺寸800x800
朴素贝叶斯模型多元伯努利事件模型多项式事件模型multivariate
图片尺寸1083x600
伯努利原理 科技馆展品 校园社区科普产品大型互动设备模型定制
图片尺寸300x300
概率论与数理统计二中伯努利概率模型
图片尺寸2000x705
圣彼得堡悖论一名叫尼古拉斯 · 伯努利的瑞士教授在1713年提出了一
图片尺寸429x168
概率论与数理统计二中伯努利概率模型
图片尺寸2000x517
是模型中定义的期望.精心训练 r b m对成功应用深度学习是一个关键.
图片尺寸439x226
多标签分类的条件伯努利混合模型(icml 2016)
图片尺寸596x371
李宏毅机器学习笔记(六)—— 逻辑回归_逻辑回归 伯努利分布-csdn博客
图片尺寸1177x814
关于逻辑回归,可以用一句话来总结:逻辑回归假设数据服从伯努利分布
图片尺寸640x613
5伯努利模型督促自己,益于他人一起加油吧!
图片尺寸1080x1080
数学建模【微分方程模型(介绍,分析方法,数值模拟,传染病问题的建模和
图片尺寸650x422
discriminative vs generative (辨别模型vs生成模型)logistic
图片尺寸1564x1124
废旧物品手工制作 悬浮吹球伯努利实验创意中小学生科技创新作品
图片尺寸800x800
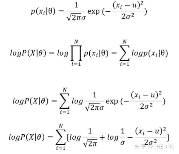
的样本结果信息,反推最大可能(最大概率)产生这个结果的模型参数值,极
图片尺寸581x501
和交叉,适应值通过训练后的模型在验证集上获得initialization69
图片尺寸638x550
伯努利-欧拉梁(bernoulli-euler beam)(5) 在低频振动时可以忽略剪切
图片尺寸377x206
对于普通的神经网络模型的前反馈操作满足(i表示该层的第i个神经单元)
图片尺寸895x486
8科技制作小发明手工实验玩具科学电动空气悬浮球模型伯努利原理已售
图片尺寸800x800