倒序相加法

倒序相加求和法
图片尺寸802x425
高一下 必修5 等差数列的前n项和(一) 第1课时教案ppt
图片尺寸1080x810
等差数列的前n项和(1)》课件(新人教a必修5)ppt 探究发现 倒序相加法
图片尺寸1080x810
数列求和之倒序相加法
图片尺寸2000x1125
数列求和之倒序相加法
图片尺寸2000x1125
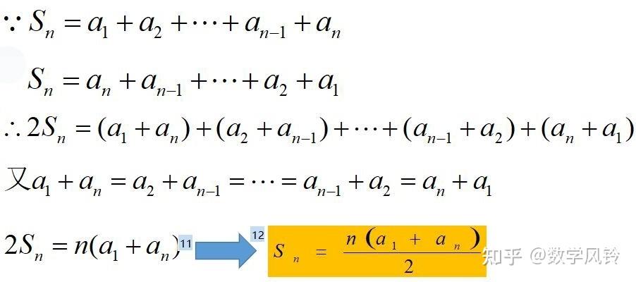
数列之求前n项和之倒序相加法
图片尺寸920x1302
错位相减法,倒序相加法,的例题
图片尺寸500x450
数列求和——倒序相加法的应用.doc
图片尺寸993x1404
数列求和之倒序相加法
图片尺寸2000x1125
数列的倒序相加法和它背后的数学故事
图片尺寸1080x1081
倒序相加法真的是高斯第一个发现的吗
图片尺寸2000x1125
倒序相加法觉得有用的话就关注一下吧~希望大家都可以进步98
图片尺寸1080x1440
数列求和之错位相减法,倒序相加法.pdf 4页
图片尺寸800x1132
倒序相加法7415错位相减法(差比数列的普通方法及万能公式法)74
图片尺寸1080x1382
数列的倒序相加法和它背后的数学故事
图片尺寸902x400
1. 分组(分段)求和2. 倒序相加法3. 并项求和4. 错位相减法5.
图片尺寸1080x1439
2014年厦门事业单位招聘行测答题技巧运用顺逆相加法解决计算问题
图片尺寸493x304
数列求和倒序相加法错位相减法裂项相消法分组求合法等
图片尺寸920x1302
数列求和方法:公式法分组求和法裂项相消法倒序相加法错位相减法94
图片尺寸1080x1439
这个倒序相加法,得从小学数学开始讲起
图片尺寸957x558