偏导数符号

高数: 设u=xf(x,y/x),f具有二阶连续偏导数,求a∧2u/axay. 求过程
图片尺寸464x240
四偏导数符号及全微分符号
图片尺寸1766x378
二阶混合偏导数
图片尺寸453x340
大一数学,偏导数的证明
图片尺寸405x201
微积分偏导数
图片尺寸1080x1533
大学高等数学课件第五章2多元函数的偏导数
图片尺寸800x600
偏导数的定义及其计算法
图片尺寸920x690
多元函数偏导数
图片尺寸700x370
z=f(x,x/y)的二阶偏导数是什么?
图片尺寸640x256
高数的偏导数
图片尺寸1277x920
展开全部 ## 偏导数 向左转 向右转
图片尺寸951x871
多元函数微分学 偏导数计算
图片尺寸1135x896
考研数学二元函数求偏导书写符号的问题
图片尺寸3264x2448
每个符号分别是什么意思?其中全微分偏微分不怎么会
图片尺寸375x500
求下列函数的二阶偏导数(打勾的)
图片尺寸1852x1890
偏导数与全微分的一些经典例题
图片尺寸1080x1441
c) 克罗内克符号(续) 例:空间直角坐标系中,线元矢量长度的平方为: ds
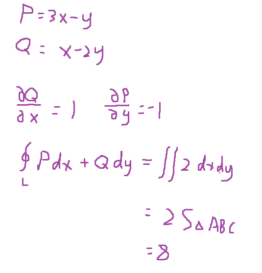
图片尺寸1080x810![由格林公式得,原式等于:英 [ra03nd]美 [ra03nd],偏导数符号,读](https://i.ecywang.com/upload/1/img1.baidu.com/it/u=2763180064,722635802&fm=253&fmt=auto&app=138&f=JPEG?w=500&h=521)
由格林公式得,原式等于:英 [ra03nd]美 [ra03nd],偏导数符号,读
图片尺寸535x558
数学符号读法(偏导数符号读法)_百科-8s新商盟
图片尺寸792x1120
偏导数f/(xyz)
图片尺寸1600x900