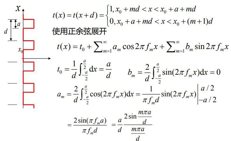
傅里叶光学

2014optics6_1傅里叶光学
图片尺寸1080x810
傅里叶光学第2版
图片尺寸564x800
傅里叶光学
图片尺寸600x600
傅里叶光学 (一)
图片尺寸560x420
傅里叶光学ppt
图片尺寸1080x810
傅里叶变换光学基本原理二理论学习者必看
图片尺寸791x483
【二手9成新】傅里叶光学(第3版) /吕乃光 机械工业
图片尺寸1200x1600
预订 图像处理中的傅里叶光学fourier optics in image processing
图片尺寸345x522
光学中的傅里叶变换(5)——图像滤波
图片尺寸507x251
包邮 傅里叶光学 第三版 第3版 吕乃光 机械工业出版社 普通高等教育
图片尺寸800x800
【二手9成新】高等学校试用教材:傅里叶光学 /吕乃光 机械工业出
图片尺寸1600x2133
【二手9成新】傅里叶光学(第3版) /吕乃光 机械工业
图片尺寸1600x1600
【二手9成新】傅里叶光学
图片尺寸600x800
正版现货 傅里叶光学导论 第四版第4版 (美)约瑟夫·w.
图片尺寸790x790
光电信息科学与工程类专业规划教材:傅里叶光学导论(第3版),josephw.
图片尺寸255x357
傅里叶光学,吕乃光编,机械工业出版社
图片尺寸796x1134
傅里叶光学答案 - 百度文库
图片尺寸500x375
傅里叶变换光学基本原理(三)(理论学习者必看)
图片尺寸816x567
【二手9成新】傅里叶光学 /游明俊 兵器工业
图片尺寸1200x1200
【二手9成新】傅里叶光学(基本概念和习题)(作者 吕迺光 陈家壁 联合
图片尺寸1600x1200