全反式维甲酸

艾力可副作用为什么这么大
图片尺寸500x375
上海长城药业有限公司招商产品,电话,地址,介绍_环球医药招商网
图片尺寸500x400
05%全反式维a酸是目前唯一被美国fda批准治疗光老化的产品.
图片尺寸640x640
全反式维甲酸
图片尺寸331x331
叶酸和铁的功效与作用(琥珀维生素b12为抗贫血药的药物分类及药物介绍
图片尺寸700x466
维甲酸99维a酸全反式维a酸化妆品原料直供化妆品厂现货供应
图片尺寸750x750
4-keto全反式维甲酸
图片尺寸605x375
全反式维甲酸(atra)在临床上是用于治疗白血病的一线药物,其主要通过
图片尺寸220x198
0成交442千克维甲酸99%维a酸全反式维甲酸视黄酸原料粉末 化妆品原料
图片尺寸1000x1000
早c晚a你真的用对了吗
图片尺寸1479x541
丽珠维三联(枸橼酸铋钾片/克拉霉素片/替硝唑片)适用于治疗十二指肠
图片尺寸1000x1000
黄色针状结晶,有维生素甲醋酸酯类似的气味.
图片尺寸320x124
维甲酸99% 全反式维甲酸 维a酸 化妆品原料 厂家直销现货包邮图片
图片尺寸704x704
维甲酸98% 维a酸 黄色结晶性粉末 医药 化妆品原料 全反式 包邮
图片尺寸300x300
荆门市中伟化工有限公司
图片尺寸1200x1600
4-keto全反式维甲酸
图片尺寸226x70
维甲酸99% 维a酸 化妆品原料 全反式维甲酸100g/袋 质量保证 包邮
图片尺寸800x800
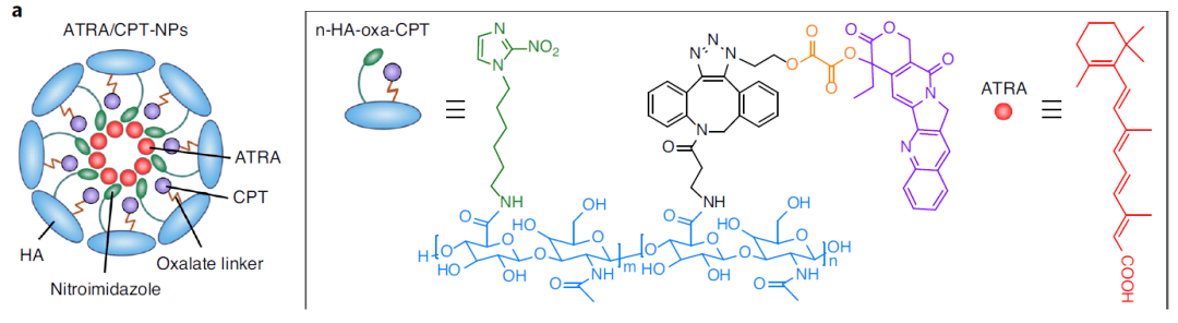
利用纳米载体克服肿瘤异质性障碍
图片尺寸1080x296
24维甲酸
图片尺寸800x800
适用于以下情况:高分解代谢状况,液体入量受限(如心功能不全病人),恶
图片尺寸1000x1000