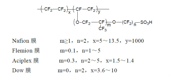
全氟磺酸膜

全氟磺酸膜
图片尺寸679x303
全氟磺酸离子膜nr211 美国杜邦质子交换膜nafion 211厚度25μm
图片尺寸800x800
全氟磺酸离子交换膜(nafion03 n117)(10×10cm)--nf-117
图片尺寸400x267
燃料电池质子交换膜杜邦全氟磺酸离子膜
图片尺寸860x860
定制定制原装进口nafion117杜邦质子交换膜n117全氟磺酸离子适配 直径
图片尺寸800x800
nafion117膜全氟磺酸离子膜 质子交换膜 n117 燃料电池电解水制氢
图片尺寸2347x2347
全氟磺酸离子膜nr211 美国杜邦质子交换膜nafion 211厚度25&mu
图片尺寸800x800
杜邦质子交换膜n117 全氟磺酸离子膜nafion燃料电池用10*10cm直径
图片尺寸1242x1242
代理美国戈尔gore汽车氢燃料电池质子交换膜全氟磺酸离子膜-阿里巴巴
图片尺寸425x319
全氟磺酸离子膜 质子膜 燃料电池 电解水制氢 富氢水杯 钒电池等
图片尺寸555x555
杜邦 质子交换膜n117 全氟磺酸离子膜nafion117(10*10cm) 可开票
图片尺寸800x800
nafion n117全氟磺酸阳离子交换膜杜邦质子交换膜pem科慕离子树脂
图片尺寸300x300
外文名是nafion nr 50 (beads 10-35 mesh),是全氟磺酸隔膜
图片尺寸640x451
美国nafion 212全氟磺酸离子膜 杜邦质子交换膜 10*10cm 20*20c
图片尺寸181x141
杜邦质子交换膜 n115 全氟磺酸离子膜nafion 115 可开票
图片尺寸800x800
美国 直径30mm 杜邦质子交换膜 全氟磺酸离子膜nafion117(10*10
图片尺寸800x800
美国 直径30mm 杜邦质子交换膜 全氟磺酸离子膜nafion117(10*10cm
图片尺寸763x603
嘉际 杜邦质子交换膜 萘酚nafion n115 n117 n1110 nc700 全氟磺酸膜
图片尺寸800x800
全氟磺酸膜
图片尺寸559x420
正品杜邦质子交换膜n115 n117 全氟磺酸离子膜 nafion117
图片尺寸1024x1024