内存图怎么画

内存结构
图片尺寸1326x581
用bytefield宏包结合tikz绘制内存结构图
图片尺寸800x867
根据代码画出对应内存结构图.png
图片尺寸2313x962
父子类的内存图示例
图片尺寸1306x648
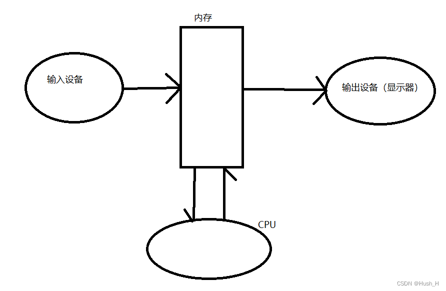
内存示意图
图片尺寸888x704
java学习笔记面向对象的内存分析
图片尺寸700x432
数组内存图.png
图片尺寸910x505
smartdraw suite edition 画图软件画表格内存示意图的使用方法
图片尺寸1961x1060
java内存模型怎么画快速教你绘制专业模型图
图片尺寸1516x1335
smartdraw suite edition 画图软件画表格内存示意图的使用方法
图片尺寸2100x1169
照例内存图示画一个,如下
图片尺寸434x269
smartdraw suite edition 画图软件画表格内存示意图的使用方法
图片尺寸2053x1441
smartdraw suite edition 画图软件画表格内存示意图的使用方法
图片尺寸1586x522
首先老规矩,祭上一张自己画的内存模型图画的比较简陋,简单介绍一下
图片尺寸679x413
5java方法调用内存图
图片尺寸802x539
画说283%的增长背后液冷服务器太火了!_散热_内存_方案
图片尺寸1080x1423
c内存模型基础
图片尺寸1353x955
c语言一文看懂指针和内存
图片尺寸892x582
java简单代码运行内存图_java请画出下面代码在执行s.
图片尺寸1359x549
二位数组内存分配示意图
图片尺寸1653x729