写作文

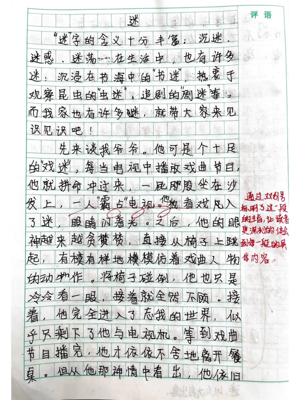
六上五单元 围绕中心意思写 满分作文《迷》
图片尺寸960x1280
写得作文一直很好,字迹也很端正,很擅长写作文的
图片尺寸2000x2667
三年级作文 我有一个想法 不修改无提高 比较一下修改前和修改后的
图片尺寸960x1280
三年级下册续编故事,瞌睡虫续写,颠倒村 网课期间写作文,真愁人,讲了
图片尺寸961x1280
写作文是有公式的.一.写景第1段:时间,地点,人物,景物第2 - 抖音
图片尺寸1080x1440
写景作文|适合秋天哦 周末作业啊,我可太不喜欢写作文了
图片尺寸961x1280
三年级优秀作文展(桃源居)
图片尺寸2000x2667
五会作文 第一期基础班 学生作品展(一) 写美篇别怪孩子不会写作文
图片尺寸1200x2137
六上第6单元作文《围绕中心意思写-盼》 又发晚啦哈哈哈~要摘抄的宝子
图片尺寸960x1280
小学生作文我学会了写作文docx4页
图片尺寸1594x2255
写夏天的作文1000字0001.docx 5页
图片尺寸1594x2256
《写一篇记事的作文400字洗头.docx》
图片尺寸993x1404
围绕中心意思写妙的六年级作文5篇
图片尺寸920x1302
三年级作文-家乡的四季 感谢大家的点赞,现在女儿写作文的动力就来源
图片尺寸960x1280
记一次有意义的校园活动作文
图片尺寸920x1304
作文赏析——他()了
图片尺寸961x1920
围绕中心意思写作文《望》
图片尺寸1170x1653
优秀作文:围绕中心意思写《乐》 六年级上册第五单元学生优秀作文
图片尺寸960x1280
五年级作文写作文的滋味450字
图片尺寸920x1302
写蝴蝶的作文写蝴蝶的作文400字
图片尺寸800x1132