力学三大定律

牛顿三定律
图片尺寸3163x1280
运动_物体_静止
图片尺寸1500x2063
如果人类可以评论高度,谁的贡献世界第一?爱因斯坦只能屈居第二
图片尺寸560x309
行星运动三大定律以来,许多科学家都尝试过依靠地球上的力学原理来解
图片尺寸1152x864
解读温度的本质,宇宙存在低温极限,但同样存在高温极限!
图片尺寸1242x889
热力学三大定律
图片尺寸920x1303
地球一直悬浮在宇宙空间中?想多了,其实地球一直在向下坠落
图片尺寸640x436
牛顿|卡文迪|地球表面|万有引力定律_网易订阅
图片尺寸660x409
力学三大定律包括惯性定律,加速度定律和作用力与反作用力定律.
图片尺寸1923x1280
热力学第三定律
图片尺寸920x690
总是有人质疑相对论,为什么很少有人质疑牛顿力学?
图片尺寸660x374
工程科技 材料科学 物化复习上答案ppt 化学力热学 一,力学三定律热
图片尺寸1080x810
关于压力是越多越好吗?孩子回到家,看到孩子"不动",就继续 - 抖音
图片尺寸1244x982
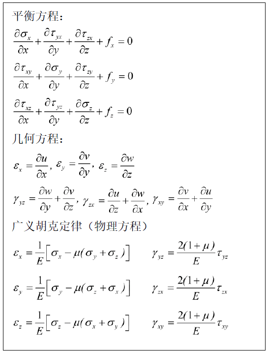
弹性力学的基本假设
图片尺寸545x715
上集我们讲了牛顿和他的力学三大定律,有了这三大定律,现代力学甚至
图片尺寸640x560
高考物理 | 热力学三定律揭秘!92 想要在高考物理中掌握热 - 抖音
图片尺寸1080x1528
5牛三定律
图片尺寸1080x810
高中物理力学实验六:验证机械能守恒定律
图片尺寸690x1116
高中物理力学实验六:验证机械能守恒定律
图片尺寸690x1090
物理知识:开普勒第三定律!
图片尺寸934x1514