协方差公式

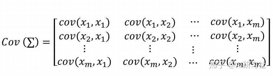
协方差矩阵 协方差计算公式: 协方差矩阵
图片尺寸1080x810
计算协方差的一个简单公式 由协方差的定义及期望的性质, 由协方差的
图片尺寸1080x810
方差公式
图片尺寸705x364
协方差公式 - 百度文库
图片尺寸496x702
过程matlab也行要具体过程必须要用协方差要具体过程这是协方差公式法
图片尺寸420x495
方差标准差协方差
图片尺寸885x749
样本方差 样本方差的计算公式为: s 2 n 1 ( xi x ) 2 n 1 i
图片尺寸1080x810
协方差计算公式 cov(x,y)=e(xy )-e(x)e(y) 注 (1)若 x与y独立,则ovv
图片尺寸1080x810
公式:仅仅观察协方差的模值可能意义不大,因为并不知道协方差的大小是
图片尺寸486x163
五人身高为 171 ,175 ,176 ,a ,b .问:a ,b 为多少时,标准差最小?
图片尺寸717x697
初中方差公式变形推导过程
图片尺寸920x1302
初高中数学衔接讲座00 前言 (深圳中学 曾劲松) 【建议】 1,乘法公式
图片尺寸1080x810
协方差的计算公式例子协方差的意义和计算公式
图片尺寸312x224
协方差矩阵
图片尺寸888x691
期望,方差,协方差,相关系数性质大全
图片尺寸4000x3000
随机变量的方差,协方差与相关系数4-2ppt
图片尺寸1080x810
协方差矩阵的计算公式:特征值与特征向量特征值:令m为n*n矩阵,如果
图片尺寸942x265
方差概念及计算公式
图片尺寸920x1302
中华会计网校论坛 注会财务成本管理 协方差,相关系数,β系数三个公式
图片尺寸246x142
标准偏差与相对标准偏差公式(汇编版)1.doc
图片尺寸993x1404