卡莫司汀结构式

卡莫司汀
图片尺寸600x600
卡莫司汀结构式
图片尺寸347x288
分子结构式
图片尺寸775x205
卡莫司汀结构式
图片尺寸605x375
> 卡莫司汀
图片尺寸225x200
卡莫司汀注射液
图片尺寸204x83
卡莫司汀
图片尺寸220x144
盐酸尼莫司汀(化学分子)盐酸尼莫司汀,分子式:c9h14cl2n6o2,分子量
图片尺寸288x244
供应 卡莫司汀
图片尺寸250x250
卡莫司汀
图片尺寸792x487
卡莫司他结构式
图片尺寸220x118
卡莫司汀注射液价格对比3支金耀
图片尺寸520x390
卡莫司汀bcnucarmustine
图片尺寸800x450
传统抗癌药卡莫司汀使用需注意这6点
图片尺寸512x422
卡莫司汀
图片尺寸220x143
卡莫司汀
图片尺寸600x600
卡莫司汀
图片尺寸300x218
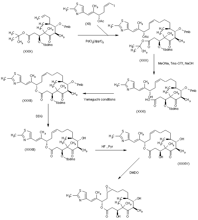
【药物名称】(-)-epothilone a, epothilone a
图片尺寸659x733
卡莫司汀注射液(卡莫司汀
图片尺寸180x180
卡莫司汀注射液治疗恶性淋巴瘤可以吗
图片尺寸500x500