名册大学生

公示河南大学毕业生花名册2020年5月
图片尺寸1525x1080
南通大学2011级新生自112团员花名册
图片尺寸1164x842
表6 在校学生名册
图片尺寸1041x730
河北大学录取新生名册
图片尺寸1149x667
2014届毕业生名册
图片尺寸711x1014
汕头大学医学院95级硕士研究生花名册(精)
图片尺寸760x766
中国人民公安大学2019年本科招生录取名册
图片尺寸827x1169
请查收,华理2017年秋季入学研究生新生花名册!
图片尺寸521x4999
学生花名册管理登记表 学校学生入学返校大学生花名册信息统计表
图片尺寸800x800
学生花名册
图片尺寸1094x696
家庭经济困难别发愁,宜昌72名准大学生将圆梦!资助名单正在公示!
图片尺寸713x1490
2010届毕业生名册
图片尺寸676x1011
学生花名册
图片尺寸1185x678
高校新生花名册
图片尺寸1166x756
2020年北京大学化学学院全国优秀大学生夏令营材料送达名单
图片尺寸1522x1816
重庆大学2008年(秋季)博士生拟录取名单
图片尺寸760x1116
复旦大学跨校辅修学生退学名册(第11期)
图片尺寸728x1042
2010-2011学年度清华大学优秀学生干部名单公示材料
图片尺寸594x933
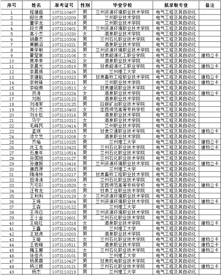
兰州理工大学2020年专升本考试拟录取学生名单
图片尺寸738x915
学生花名册
图片尺寸1072x667