哈密顿原理

凯莱-哈密顿定理
图片尺寸630x414
如何用哈密顿原理研究振动?
图片尺寸600x390
南开的邵斌和左旭教授也用狸猫换了太子结果居里温度
图片尺寸768x520
此时,薛定谔方程又被写为其中 h 被称为哈密顿量算符.
图片尺寸4200x762
如何理解哈密顿-雅科比方程?
图片尺寸553x335
我们通常用牛顿力学,拉格朗日力学或哈密顿力学来描述经典力学,这三种
图片尺寸640x355
一起来尝试借助哈密顿环自动玩贪吃蛇小游戏呀
图片尺寸1080x781
电子粒子观的蜕变
图片尺寸640x506
分析力学 课时限制 没有讲泊松括号 泊松定理以及哈密顿原理 #物理
图片尺寸1080x1527
南开的邵斌和左旭教授也用狸猫换了太子结果居里温度
图片尺寸989x391
南开的邵斌和左旭教授也用狸猫换了太子结果居里温度
图片尺寸842x372
存在的情况下(或在弯曲时空中)一物质体系的拉格伦日函数和哈密顿原理
图片尺寸704x721
电路 电路图 电子 原理图 4200_682
图片尺寸4200x682
南开的邵斌和左旭教授也用狸猫换了太子结果居里温度
图片尺寸536x421
拉格朗日量哈密顿量及变分原理
图片尺寸388x480
一起来尝试借助哈密顿环自动玩贪吃蛇小游戏呀
图片尺寸899x653
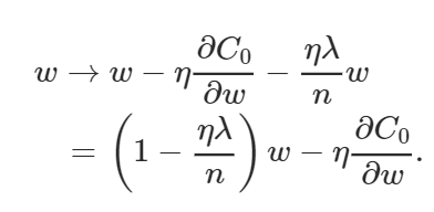
权值衰减和l2正则化傻傻分不清楚
图片尺寸392x192
量子力学的框架下,任意初态的演化由可由哈密顿量给出的幺正演化完全
图片尺寸1224x1170
ringbiodd主要思路:如果n个mesh的结点形成不了哈密顿环,那n-1一定
图片尺寸838x469
南科大团队发表反铁磁材料自旋劈裂行为的研究成果
图片尺寸1920x1080