嘌呤结构图

嘌呤
图片尺寸268x268
嘌呤 结构式
图片尺寸291x231
图4-1 构成核苷酸的嘌呤和嘧啶的化学结构式
图片尺寸1090x616
尿酸高应该摄入多少嘌呤(谈痛风就说尿酸)(2)
图片尺寸640x530
尿酸痛风尿酸结构式照片
图片尺寸436x300
日常食物中引起痛风的主要始作俑者—"嘌呤"
图片尺寸640x280
生物化学 n h n n n n h 腺嘌呤 (adenine,a) o h 嘌呤 (purine) n
图片尺寸1080x810
图片浏览
图片尺寸280x169
嘌呤碱(purine)
图片尺寸1080x810
次黄嘌呤的制备
图片尺寸537x566
核苷酸结构示的图意 腺嘌 (呤)a p 腺嘌呤(a) 脱氧核糖 p核 糖腺苷核
图片尺寸1080x810
嘌呤,嘌呤百科
图片尺寸800x604
无忧文档 所有分类 自然科学 生物学 核酸的结构与功能ppt nh2 嘌呤
图片尺寸1080x810
高嘌呤食物是伪概念痛风餐的元凶竟然是高蛋白氨基酸
图片尺寸1080x805
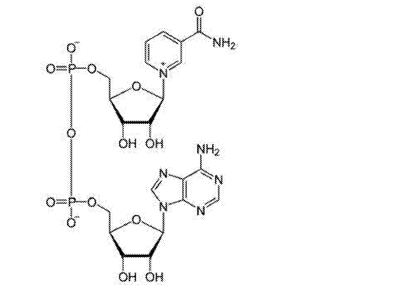
烟酰胺腺嘌呤二核苷酸在制备防治皮肤辐射损伤药物中的应用
图片尺寸1558x1116
生物化学~ 下面这些结构式的中文名称~谢谢!
图片尺寸238x270
鸟嘌呤鸟嘌呤分子结构上白色孤立照片
图片尺寸577x300
嘌呤碱的化学结构
图片尺寸418x232
为什么会发生痛风?
图片尺寸500x412
奶茶的"威力"真有这么大吗?真相到底是什么
图片尺寸720x474