回归方程公式

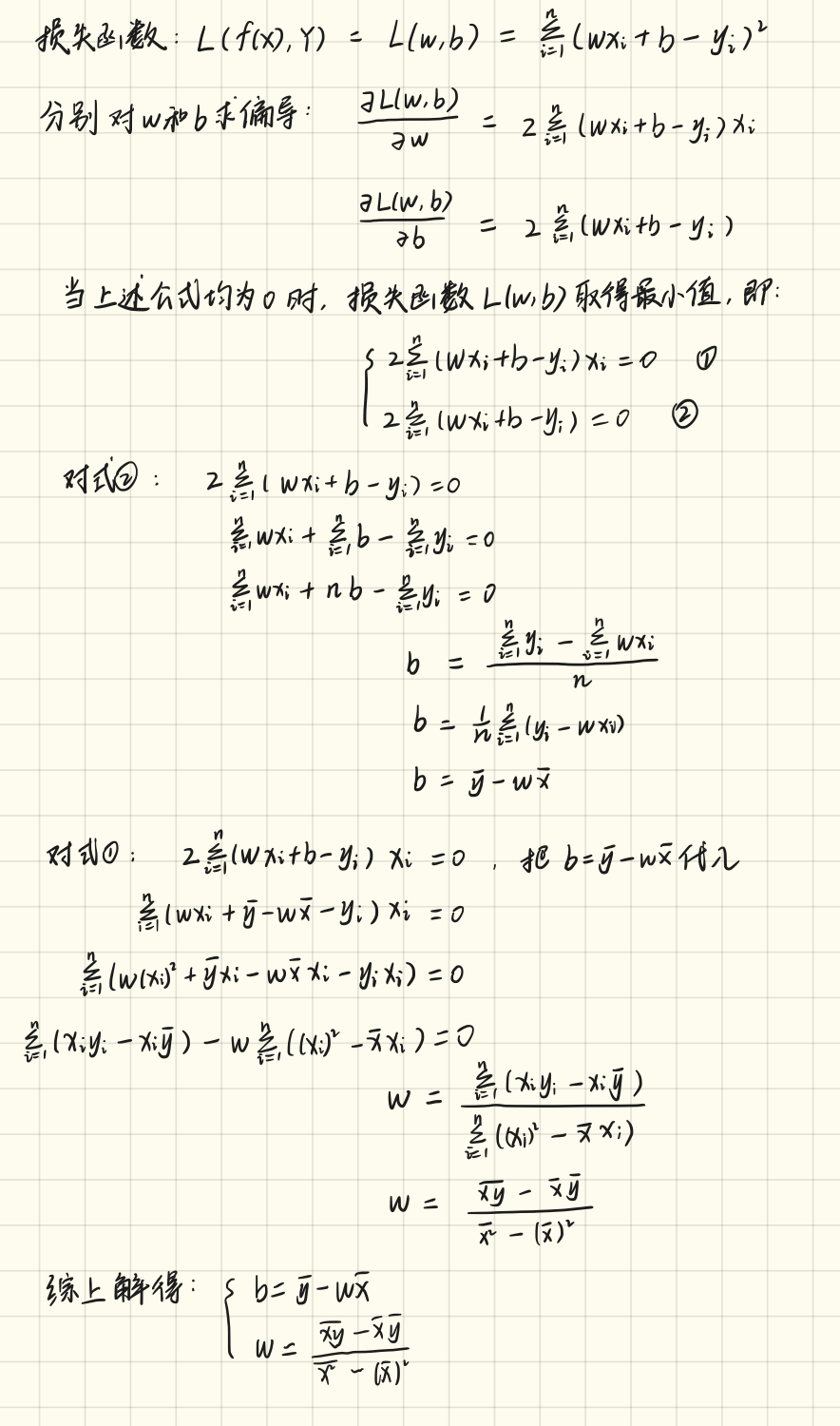
解此方程,推导出求回归系数a,b的公式.求详细步骤!
图片尺寸576x340
回归方程公式
图片尺寸640x341
回归直线方程的一系列公式
图片尺寸816x612
回归方程公式
图片尺寸640x341
线性回归方程公式证明.doc 1页
图片尺寸1594x2255
回归方程公式
图片尺寸640x341
高中线性回归方程公式
图片尺寸521x275
4《线性回归方程》(2)(苏教版必修三) (1)ppt
图片尺寸1080x810
二次线性回归方程公式r高中数学线性回归方程
图片尺寸455x240
相关系数,回归方程计算公式
图片尺寸959x1356
把线性回归方程的a= b= 什么 写下来或者书上的公式拍给我 如果不确定
图片尺寸474x194
回归方程公式 - 百度文库
图片尺寸496x702
高中数学:线性回归方程知识点专项讲解及典型例题归纳
图片尺寸1080x810
怎么求出回归直线方程的回归系数.求具体讲解
图片尺寸351x156
一文解释线性回归方程,多元线性回归推导,最小二乘法推导
图片尺寸701x647
0. 导学西瓜书公式推导讲解来了!相关内容
图片尺寸1334x750
2,一元线性回归
图片尺寸884x1500
第三节 直线回归方程
图片尺寸462x274
2两个变量的线性相关习题答案ppt 回归直线方程: y bx a b (x
图片尺寸1080x810
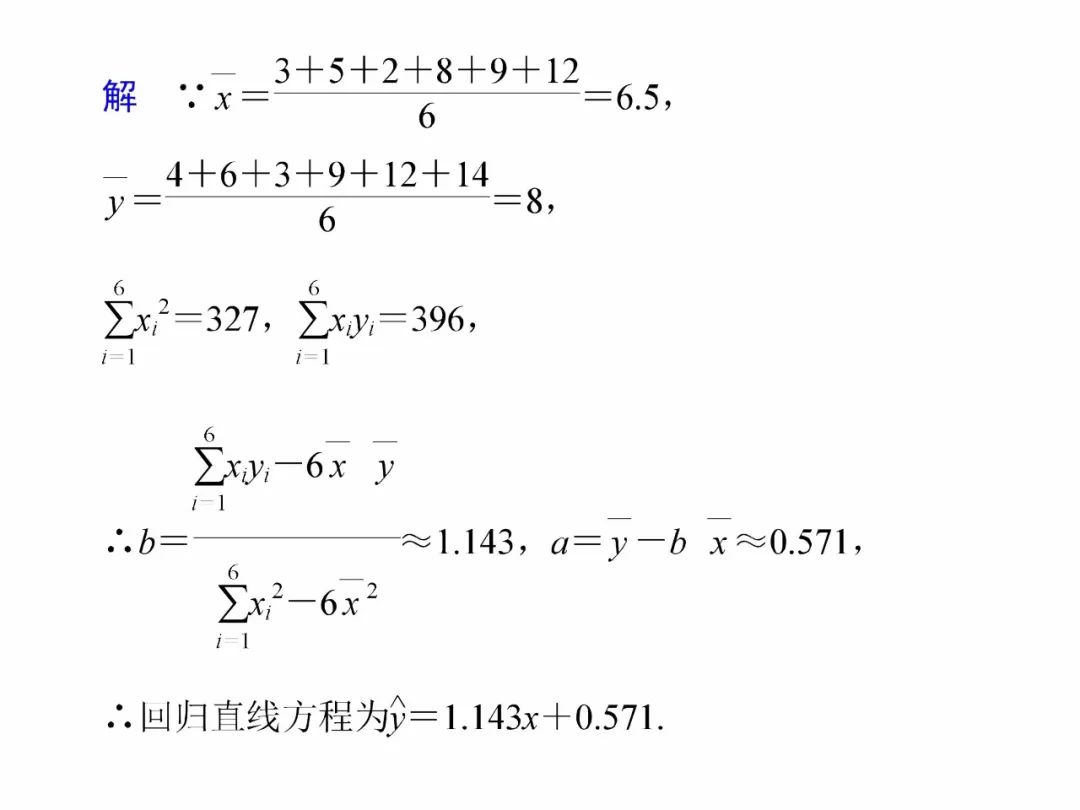
怎么求回归方程?
图片尺寸450x599