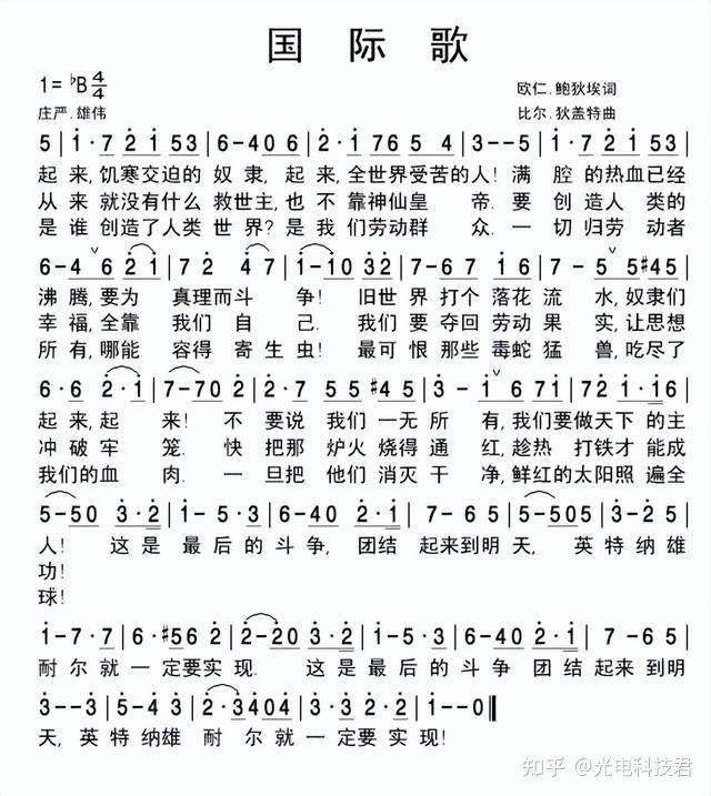
国际歌

国际歌简谱 - 曲谱歌词网
图片尺寸2480x3508
国际歌简谱
图片尺寸962x1280
《国际歌》里的英特纳雄耐尔到底是什么意思?_音译
图片尺寸640x800
《国际歌》制谱测试 小号版
图片尺寸1728x1080
《国际歌》1965_哔哩哔哩_bilibili
图片尺寸6912x4320
《国际歌》北京激情唱响合唱团(玉渊潭) 指挥:孙连玉
图片尺寸640x360
国际歌智能简谱(含词)_牛求艺网
图片尺寸1140x1611
《国际歌》唐朝乐队|纪念巴黎公社【hi-res】
图片尺寸3840x2160
简谱视唱《国际歌》,逐句讲解,领唱,带你轻松学唱谱_网易视频
图片尺寸750x422
《国际歌》的故事 音频书 林建华 著 艺术 文轩网
图片尺寸800x800
【日文字幕中文歌词】インターナショナル⧸国际歌⧸ the interna
图片尺寸1799x1012
牛啊!现在连啊猫啊狗都敢改《国际歌》的歌词了!批判"橘猫乐队"对《国
图片尺寸1728x1080
国际歌简谱
图片尺寸640x960
该一起唱《国际歌》的时间了,加沙拉法地区已到了最的
图片尺寸640x717
放声高唱《国际歌》(戎林词 任克强曲)_简谱_搜谱网
图片尺寸700x1067![【国际歌简谱】[法] 国际歌简谱-明明简谱网](https://i.ecywang.com/upload/1/img0.baidu.com/it/u=3826131854,602476103&fm=253&fmt=auto&app=138&f=JPEG?w=500&h=700)
【国际歌简谱】[法] 国际歌简谱-明明简谱网
图片尺寸900x1260
国际歌简谱
图片尺寸640x904
俄·歌第50讲《国际歌》* - 美篇
图片尺寸2200x3080
国际歌_歌谱简谱_哆来咪123曲谱网
图片尺寸600x888
国际歌
图片尺寸1080x1104