头孢菌素结构
![图12[7]:头孢菌素的核心结构.它是从撒丁岛的污水沟中偶然发现的](https://i.ecywang.com/upload/1/img0.baidu.com/it/u=1936578420,1437174337&fm=253&fmt=auto&app=138&f=PNG?w=274&h=209)
图12[7]:头孢菌素的核心结构.它是从撒丁岛的污水沟中偶然发现的
图片尺寸274x209
头孢克肟分散片
图片尺寸938x656
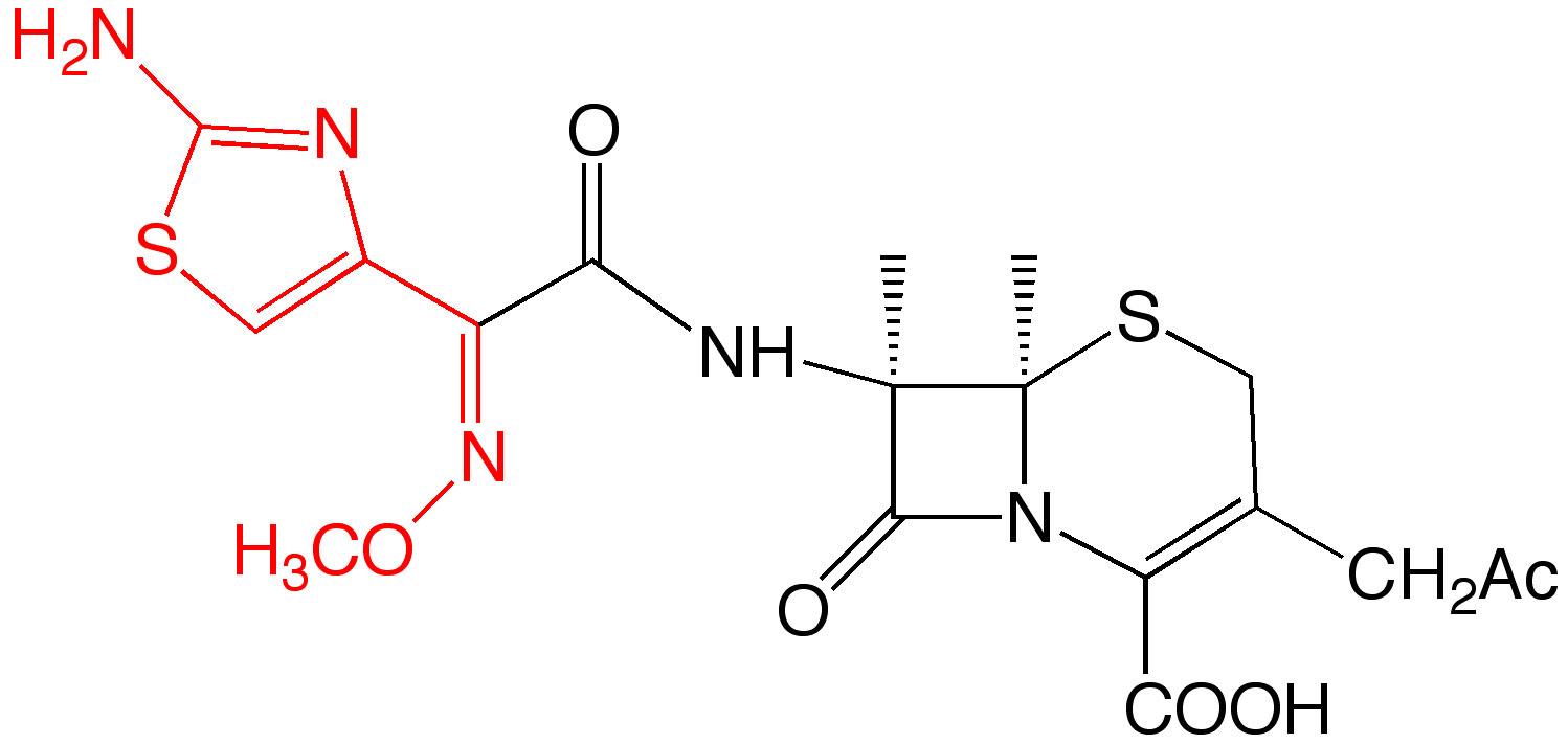
头孢克肟|cefixime|79350-37-1|adamas|98%|rg|250mg
图片尺寸1690x1053
头孢氨苄颗粒
图片尺寸3365x1362
执业西药师结构之拉氧头孢
图片尺寸477x241
苯甘头孢菌素
图片尺寸1404x937
头孢类的抗生素是指头孢菌素类药物,提取自青霉素结构相似的头孢属
图片尺寸640x411
头孢菌素类抗生素的结构特点:2.
图片尺寸830x406
氨噻肟头孢菌素
图片尺寸1773x904
头孢氨苄结构式
图片尺寸365x365
无忧文档 所有分类 医药卫生 药学 头孢菌素ppt 头孢菌素的基本结构
图片尺寸1080x810
头孢克肟干混悬剂
图片尺寸3557x2138
头孢霉素结构式
图片尺寸480x302
医药卫生 药学 头孢菌素类抗生素研究进展-snppt 头孢菌素类基本结构
图片尺寸1080x810
这一代的头孢菌素,在7位氨基侧链上多为2-氨基噻唑-α-甲氧亚氨基乙酰
图片尺寸1498x711
另外,头孢菌素的r1侧链是与青霉素存在交叉过敏风险的原因之一.
图片尺寸560x336
执业西药师结构学习之头孢菌素类抗菌药物
图片尺寸540x517
所有分类 高等教育 医学 抗生素复习答案ppt 抗生素的结构式 头孢噻肟
图片尺寸1080x810
执业西药师结构学习之头孢菌素类抗菌药物
图片尺寸514x202
执业西药师结构之氯碳头孢
图片尺寸389x276