尼群地平结构式

尼群地平
图片尺寸348x239
2结构式nitrendipine4.1.3英文名niqundiping4.1.2汉语拼音尼群地平4.
图片尺寸480x313
尼群地平的化学结构式为().
图片尺寸488x314
(r)-尼群地平结构式图片
图片尺寸605x375
脱氢尼群地平结构式图片|1216770-08-9结构式图片
图片尺寸605x375
尼群地平片
图片尺寸546x402
尼群地平片
图片尺寸173x120
p>硝苯甲基吡啶,又称尼群地平,nitrendipine,c18h20n2o6,360.36.
图片尺寸407x404
脱氢尼群地平, 89267-41-4, 结构式
图片尺寸250x258
尼群地平软胶囊
图片尺寸253x170
尼群地平杂质c(ep) 标准品
图片尺寸605x375
尼群地平d.桂利嗪e.氨氯地平
图片尺寸400x431
药物化学实验之尼群地平的合成后日谈
图片尺寸509x299
尼群地平杂质4, 89267-42-5, 结构式
图片尺寸250x258
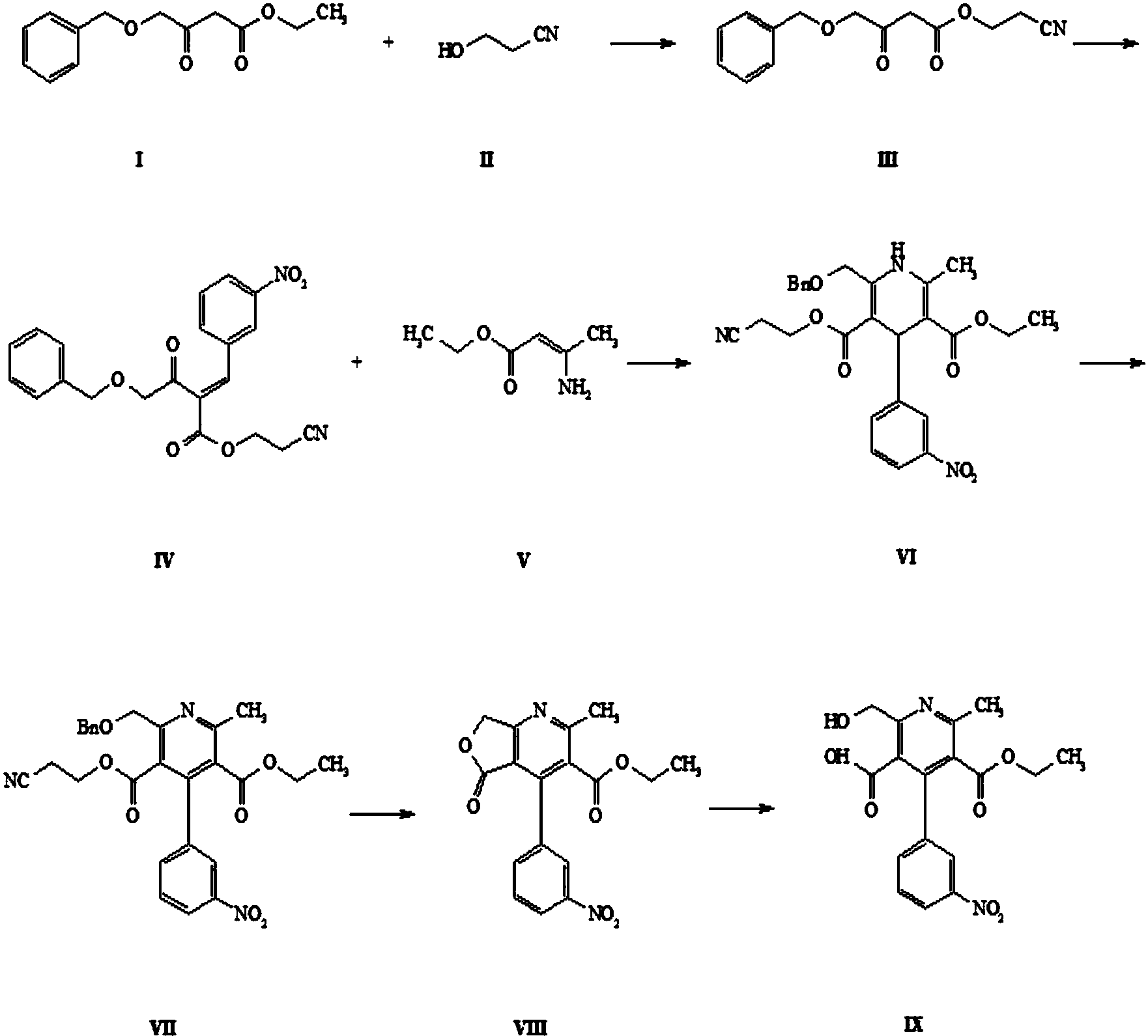
一种尼群地平代谢物的合成方法
图片尺寸1762x1591
nicardipine hydrochloride_中文名_是什么药_cas号_化学结构式 - 药
图片尺寸600x600
尼群地平二丙酯杂质, 77888-05-2, 结构式
图片尺寸424x268
nitrendipine(尼群地平)化学结构nitrendipine(尼群地平)基础信息中文
图片尺寸500x500
为什么尼群地平最好舌下含服
图片尺寸1920x2560
尼群地平片
图片尺寸1280x1706