岭回归模型

线性回归的模型,目标与算法正则化方法:岭回归,lasso算法,弹性网络
图片尺寸677x502
干货机器学习中的五种回归模型及其优缺点
图片尺寸666x500
r语言中对lasso回归ridge岭回归和elasticnet模型实现
图片尺寸1080x772
一文读懂线性回归,岭回归和lasso回归
图片尺寸640x359
线性回归模型估计普通最小二乘法ols岭回归和套索回归lasso
图片尺寸661x478
模型的假设检验f与t岭回归与lasso回归logistics回归模型决策树与随机
图片尺寸738x470
通俗易懂--岭回归(l2),lasso回归(l1),elasticnet讲解(算法 案例)
图片尺寸1024x547
机器学习岭回归
图片尺寸571x416
机器学习岭回归
图片尺寸437x368
拓端tecdatr语言中对lassoridge岭回归和elasticnet模型实现
图片尺寸1240x886
r语言中对lasso回归ridge岭回归和elasticnet模型实现
图片尺寸1240x886
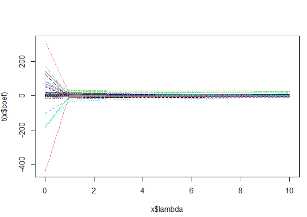
拓端tecdatr语言bootstrap的岭回归和自适应lasso回归可视化
图片尺寸641x562
岭回归
图片尺寸604x433
三, 岭回归器模型的评估
图片尺寸586x433
当λ=0时,岭回归即退化成普通线性回归模型的系数值
图片尺寸1146x738
模型假设检测,岭回归,lasso回归,lodistic回归模型,决策树与随机森林
图片尺寸619x244
朴素贝叶斯分类器_线性回归,岭回归,lasso,用于分类的线性模型,用于多
图片尺寸640x476
r语言惩罚logistic逻辑回归lasso岭回归高维变量选择的分类模型案例
图片尺寸741x701
我们知道,岭回归模型可以解决多重共线性的麻烦,正
图片尺寸366x327
r—基于diabetes数据的逐步回归,岭回归,lasso回归
图片尺寸1041x735