巴尔末公式

什么叫巴尔末公式,干什么的
图片尺寸794x369
【2049日报】s05e099氢的史诗:巴尔末公式
图片尺寸1175x734
巴耳末系公式
图片尺寸640x560
氢原子的玻尔理论 波粒二象性
图片尺寸1076x808
巴尔末系与巴尔末公式
图片尺寸601x286
理学 应用弹塑性力学(徐秉业,刘信声版)课后习题答案appt 卡尔丹公式
图片尺寸1080x810
巴尔末系与巴尔末公式
图片尺寸759x248
巴尔末公式
图片尺寸1080x702
巴尔末公式只能用于氢原子光谱吗
图片尺寸2181x2267
巴尔末系与巴尔末公式
图片尺寸697x574
莱曼系 第十三章 量子物理基础 1 1 1 1 1 1 可见光 巴尔末系
图片尺寸1080x810
广义巴耳末公式
图片尺寸1080x810
巴尔末公式只能用于氢原子光谱吗
图片尺寸450x471
巴尔末系与巴尔末公式
图片尺寸784x240
巴尔末系与巴尔末公式
图片尺寸509x280
巴尔末系与巴尔末公式
图片尺寸636x356
15-4 大学物理下册 氢原子的玻尔理论
图片尺寸1080x810
一元三次方程的求根公式
图片尺寸736x486
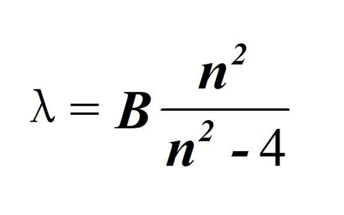
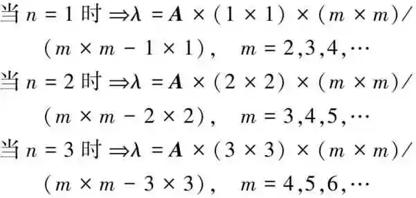
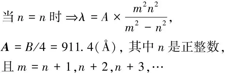
Å 5104.7Å 18158年尔末巴ba(mer)l找了一个到验公经式:年
图片尺寸1080x810
1ppt 工科无机化学华理版ppt 阿仑尼乌斯( 阿仑尼乌斯(arrhenius)公式
图片尺寸1080x810