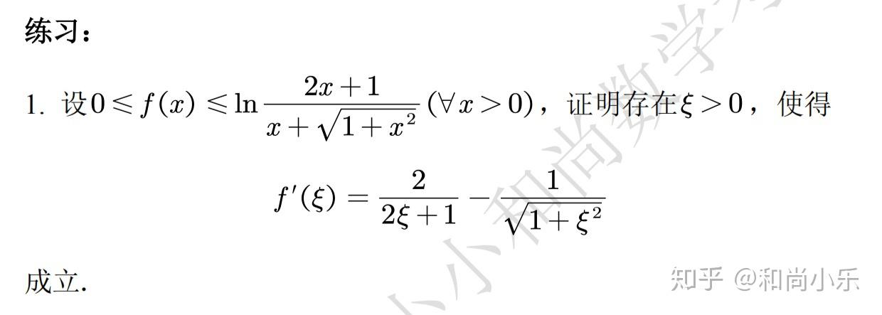
微分中值定理

微分中值定理
图片尺寸1275x958
d3考研基础班(1)---中值定理及其应用专题ppt
图片尺寸1170x810
微分中值定理
图片尺寸4095x3036
高等数学 微分三大中值定理.#高等数学 #24考研 #每天学 - 抖音
图片尺寸971x1841
微分中值定理
图片尺寸732x659
高数|微分中值定理,期末必考知识点!
图片尺寸1080x1440
2023考研数学高数备考微分中值定理
图片尺寸573x695
4-1 微分中值定理
图片尺寸1077x808
高等数学:盘点几个考研常考微分中值定理题型,攻克难点拿高分!
图片尺寸640x904
【微积分】视频速成课|期末突击复习课27:微分中值定理(2),期末考试不
图片尺寸1280x720
二轮考点全解三章微分中值定理与导数的应用
图片尺寸1184x540
高数 微分中值定理
图片尺寸517x416
高数基础5微分中值定理
图片尺寸970x600
数学分析(7): 微分中值定理
图片尺寸1026x741
微积分微分中值定理
图片尺寸920x690
微分中值定理介绍
图片尺寸640x480
6-一元函数微分学的应用(二)中值定理,微分等式与微分不等式
图片尺寸950x444
高等数学d31微分中值定理
图片尺寸920x690
微分中值定理 广义中值定理
图片尺寸1240x443
3微分中值定理
图片尺寸920x1303