微积分符号

小提琴的f孔,微积分符号,这么一说好像是挺美的▲多尔西还在手臂上
图片尺寸1080x608
凝聚思想凝练思考凝结思绪绘出常信人自己的梦想家园
图片尺寸475x250
微积分学发明于明代中国
图片尺寸1288x1679
在微积分中,莱布尼兹关于积分符号的规则以戈特弗里德·莱布尼兹命名
图片尺寸448x227
微积分公式表 (1)
图片尺寸657x1004
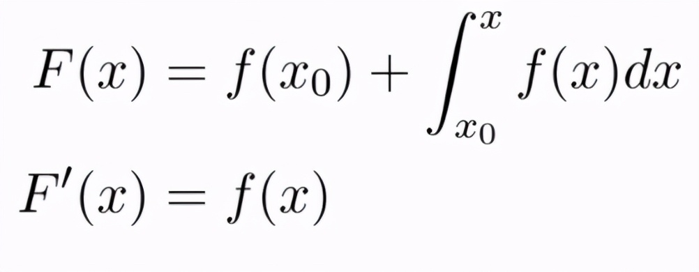
微积分公式中每个符号的含义是什么?
图片尺寸465x172
这道定积分题,怎么积?
图片尺寸398x271
积分符号
图片尺寸1438x718
数学透明符号,线性和笔画元素的轮廓样式中被隔离不定积分符号线性
图片尺寸300x300
4三重积分的概念及其计算法ppt
图片尺寸1080x810
数学大咖,在唯真!微积分与物理学革命(一)
图片尺寸600x5590
数学符号和公式的英文读法
图片尺寸640x591
数学符号.代数.黑色圆圈中的矢量白色剪影插图照片
图片尺寸300x300
高等数学上d4_5积分表ppt
图片尺寸1080x810
只带下标的积分符号是什么啊
图片尺寸1728x2304
jtl-初等数学,高等数学常见符号含义
图片尺寸677x801
微积分线性代数概率论这里有份超详细的ml数学路线图
图片尺寸1002x390
数学符号数学变量剪辑艺术数学函数的微积分
图片尺寸750x827
微积分的实际意义?在生活当中有哪些例子
图片尺寸615x327
意思就是图2里的那个东西积分出来(计算出来)就是图3的结果.
图片尺寸690x690