德雷克方程

德雷克方程
图片尺寸640x426
结合各种观测数据,德雷克方程给出计算结果——银河系中的外星人数量
图片尺寸1090x674
微积分是揭示自然界规律的钥匙,在众多领域发挥重要作用.
图片尺寸1820x1280
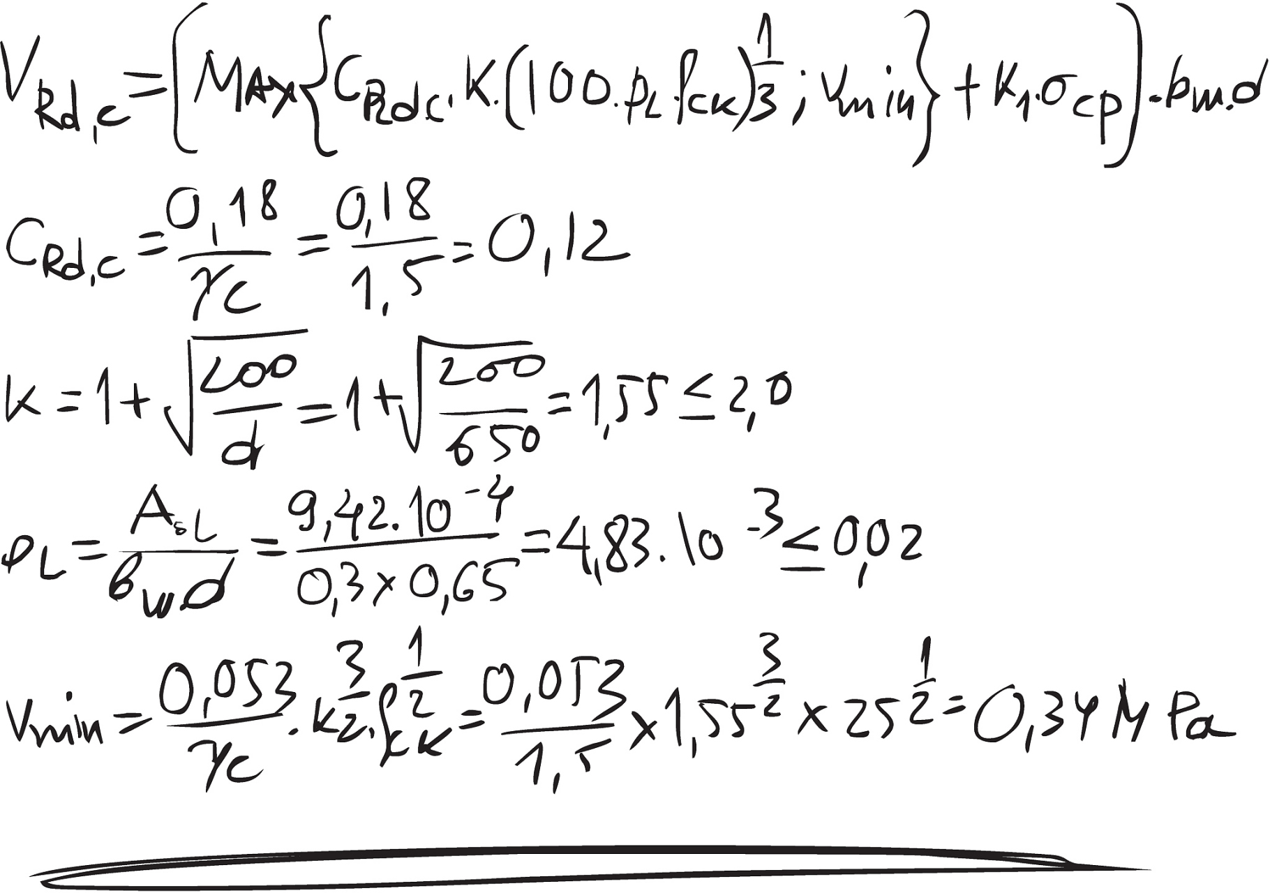
高数!
图片尺寸1108x747
德雷克方程新进展:银河系存在36个高等文明?
图片尺寸640x426
这个题的关键是找有阻力作用下的动力学方程,并且要建系规定正
图片尺寸577x551
支配宇宙的方程从弗里德曼方程到德雷克方程
图片尺寸1080x638
海外直订the drake equation 德雷克方程:估算各个年龄段地外生命的
图片尺寸800x800
s04e16你在何方:寻找外星人_德雷克
图片尺寸1080x711
在新的研究中,bibeau-delisle和brassard参照德雷克方程的形式,写出了
图片尺寸1280x756
与我们接触的银河系内外星高智文明的数量",它通常被称为德雷克方程
图片尺寸640x378
方程15:当能量-动量张量是各向同性和均质的时候,弗里德曼方程是efe.
图片尺寸640x366
新研究德雷克公式前三个参数为36亿,存在外星文明的机会相当大
图片尺寸570x720
物理化学 4章 化学动力学(4-8)ppt
图片尺寸1080x810
范德华(van der waals)方程 a p 2 vm b rt vm
图片尺寸1080x810
德雷克方程:我们在宇宙中是遗世独立的吗?
图片尺寸650x221
用德雷克方程算算银河系里的打工种族总量
图片尺寸1080x1439
这就是后来著名的德雷克方程.
图片尺寸1080x638
在这次会议上,德雷克提出了后来以他名字命名的方程——德雷克方程.
图片尺寸1000x750
海外直订jamie drake equation 杰米·德雷克方程
图片尺寸800x800