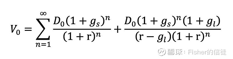
戈登模型

戈登模型(gordon growth model,ggm)是一种经典的股票估值模型,由
图片尺寸368x244
hot toys推《蝙蝠侠》戈登局长12寸可动模型
图片尺寸495x720
乔治·戈登·拜伦3d模型
图片尺寸1920x1047
mondo半条命戈登弗里曼博士12寸手办人偶模型
图片尺寸865x540
戈登模型的介绍
图片尺寸550x378
artfx 哥谭 詹姆斯·戈登
图片尺寸400x600
《哥谭戈登》3d同人 gotham ja_sfsds作品_角色/人物/生物_cg模型网
图片尺寸1920x1920
【孩仕宝】玩具模型 麦克法兰 nba 本 戈登 ben gordon 15代 异色
图片尺寸1200x1600
9007戈登玩具车儿童玩具pet日本直邮anpanman汽车模型dia
图片尺寸1000x1000
《哥谭戈登》3d同人 gotham ja_sfsds作品_角色/人物/生物_cg模型网
图片尺寸1920x1920
估值方法之戈登增长模型
图片尺寸800x205
模型,早,13世纪,艺术家,戈登
图片尺寸431x350
大神用虚幻四打造戈登弗里曼模型超精致宛如真人
图片尺寸550x566
戈登·弗里曼是经典射击游戏《半条命1》中的男主角,该手办模型高约7
图片尺寸636x786
neca 7寸系列 普通版 游戏 半条命 戈登弗里曼
图片尺寸520x650
手办厂商推出半条命16戈登弗里曼雕像包含可活动关节各种武器
图片尺寸434x656
littleredzombies上传了他利用虚幻4引擎制作的戈登弗里曼角色模型
图片尺寸820x1457
1.1戈登股利增长模型
图片尺寸1774x362
乔治戈登拜伦头像雕塑模型
图片尺寸400x285
乔治戈登拜伦头像雕塑模型
图片尺寸400x285