拉普拉斯图

超图的拉普拉斯矩阵
图片尺寸677x647
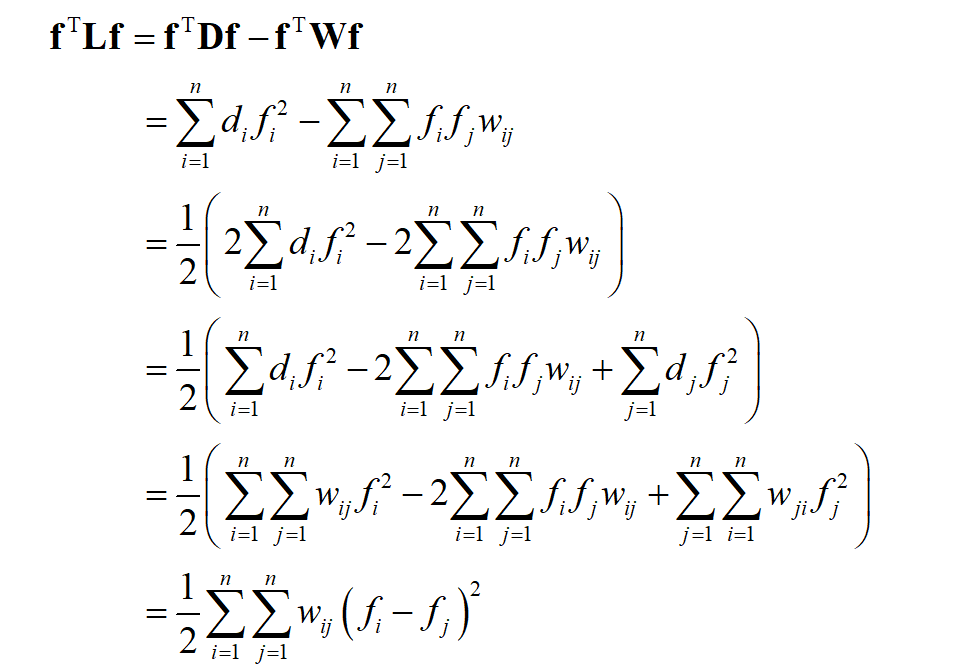
理解图的拉普拉斯矩阵
图片尺寸960x671
超图的拉普拉斯矩阵
图片尺寸1074x697
理解图的拉普拉斯矩阵
图片尺寸698x757
求下列信号的拉普拉斯变换及其收敛域,并画出零极点图和收敛域.
图片尺寸659x511
拉普拉斯分布
图片尺寸325x244
5 拉普拉斯矩阵
图片尺寸1060x234
拉普拉斯变换
图片尺寸771x432
拉普拉斯变换:理论与应用
图片尺寸1800x900
求下列信号的拉普拉斯变换及其收敛域,并画出零极点图和收敛域.
图片尺寸599x529
求下列信号的拉普拉斯变换及其收敛域,并画出零极点图和收敛域.
图片尺寸559x465
拉普拉斯
图片尺寸709x709
图信号处理之图拉普拉斯矩阵的含义
图片尺寸439x322
娱乐游戏神奇宝贝动漫人物乘龙艺术设计数码像素艺术像素
图片尺寸1920x1080
4 为什么拉普拉斯算子是高通滤波器?
图片尺寸450x327
图的正规拉普拉斯矩阵的特征值与图的坚韧度
图片尺寸1430x2046
法国数学家,在概率论和数理统计中," 拉普拉斯分布"非常重要,该分布
图片尺寸568x447
拉普拉斯图像
图片尺寸355x161
理解图的拉普拉斯矩阵
图片尺寸640x315
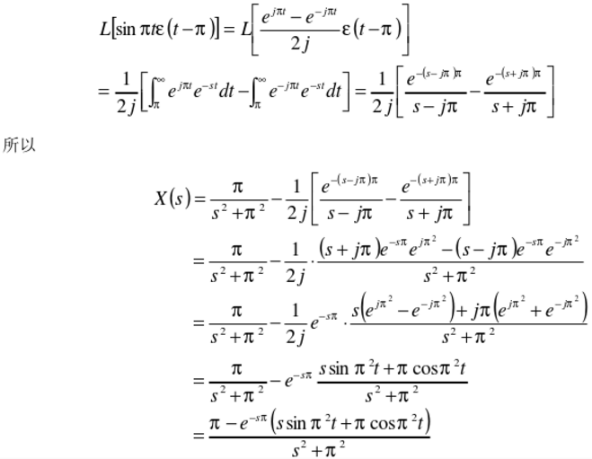
数学物理方法 拉普拉斯变换 这步怎么得的
图片尺寸533x306