插值法图解

图解插值法
图片尺寸1080x1440
四最邻近插值双线性插值
图片尺寸1083x1110
插值法(最邻近,双线性,双三次)的原理及实现
图片尺寸1096x468
4-牛顿插值ppt
图片尺寸1080x810
插值法
图片尺寸1120x840
插值样条插值
图片尺寸522x401
数值分析4多项式插值埃尔米塔插值法
图片尺寸1162x1201
克里金插值法具体公式详解kriginginterpolation
图片尺寸1037x781
插值法的计算公式是什么?
图片尺寸640x256
数值计算方法插值法ppt
图片尺寸1080x810
详解python牛顿插值法
图片尺寸595x299
学无疑物上采样之双线性插值法详解
图片尺寸500x400
数学建模插值算法
图片尺寸694x385
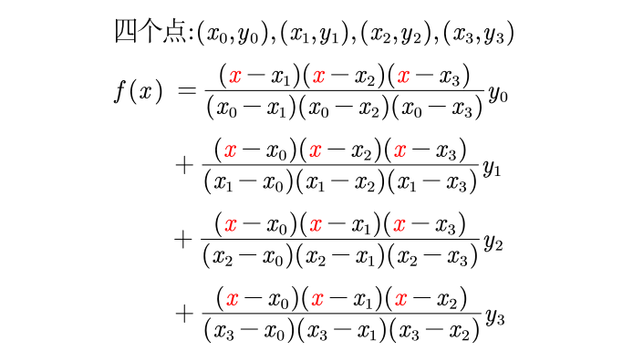
计算方法插值法拉格朗日插值法
图片尺寸720x358
实验题目1 lagrange插值
图片尺寸373x646
插值法(拉格朗日插值)ppt
图片尺寸1080x810
牛顿插值法的实验报告还有实验流程图
图片尺寸920x1301
内插法计算公式举例详解插值计算详解
图片尺寸1324x1256
数值计算二之插值法与线性回归拉格朗日插值法牛顿插值法赫米特插值法
图片尺寸767x433
1 拉格朗日插值法的适用场景
图片尺寸1080x810