收敛函数

高数中的函数收敛问题?
图片尺寸1179x852
y=(1/2)^x是收敛函数吗?
图片尺寸498x885
大一高数 这个函数收敛吗?
图片尺寸375x500
3,收敛是一个经济学,数学名词,是研究函数的一个重要工具,是指会聚于
图片尺寸640x366
请问这个级数是发散还是收敛?
图片尺寸992x744
函数列f(x)一致收敛于f(x){意思是对ve>0,存在一个正整数n使得(f)x)
图片尺寸580x275
图示函数满足单调递增且有最大值,请问这个函数收敛吗
图片尺寸768x1024
函数项级数收敛 帮我看看这样写对吗
图片尺寸780x1040
反常积分∫(0,1)dx/√(1-x∧4)是否收敛
图片尺寸618x242
判断函数项级数的一致收敛性
图片尺寸820x581
3,因为函数项级数的收敛域其实就是由所有收敛点构成的,而对于每个
图片尺寸640x341
讨论下面广义积分的敛散性,若收敛,求其值.
图片尺寸450x457
关于级数xnxn1一致收敛性的一点儿理解
图片尺寸581x360
收敛率概述 - 知乎
图片尺寸461x461
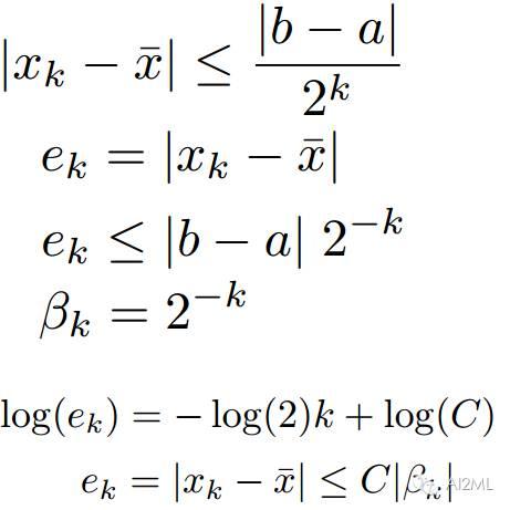
随机梯度下降收敛
图片尺寸590x375
问: 求证an =(1 1/n)^n 是收敛函数
图片尺寸700x555
求高数的收敛域~~~~~~~~~~~~~~~~~~~~~~~~~~~~~~~~~~~~~~~~~~大侠帮忙
图片尺寸565x322
1,比值判别法求收敛域,注意在端点处使用莱布尼茨判别法判断交错级数
图片尺寸1228x590
判断收敛还是发散
图片尺寸780x1040
relu函数,是卷积神经网络中常用的激活函数y = max(0, x),它收敛快,求
图片尺寸769x466