无理方程

二次方程,无理方程练习题(含答案)
图片尺寸794x1123
解无理方程,求学霸
图片尺寸188x266
帮我看一下,这道无理方程
图片尺寸1186x1600
无理方程解法习题ppt课件
图片尺寸920x690
一题多解|无理方程示例
图片尺寸640x657
一道俄罗斯高难度解无理方程题,正确率不到5%,中国学霸:送分题
图片尺寸640x697
无理方程的简介
图片尺寸500x276
初二无理方程,求解
图片尺寸445x600
求解无理方程!
图片尺寸612x456
解无理方程
图片尺寸360x480
求数学学霸,无理方程,急,两题
图片尺寸450x338
1/x-2 3=1-x/2-x 解方程.要过程结果_理工学科_题库www.teaku.com
图片尺寸620x459
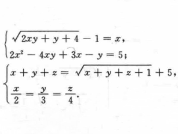
无理方程组
图片尺寸600x450
无理方程计算50题上
图片尺寸1080x1439
一题多解|无理方程示例
图片尺寸640x338
解无理方程,求学霞
图片尺寸612x816
解无理方程:根号下x加10等于2x加5
图片尺寸774x1032
解无理方程 请写出具体过程 能巧算就巧算 必采纳谢谢
图片尺寸780x1052
无理方程.换元不同答案不同.
图片尺寸486x644
意思是方程等式不成立吗
图片尺寸816x459