星形线的面积

定积分求星形线的面积
图片尺寸500x667
怎样用曲线积分求星形线的面积
图片尺寸579x508
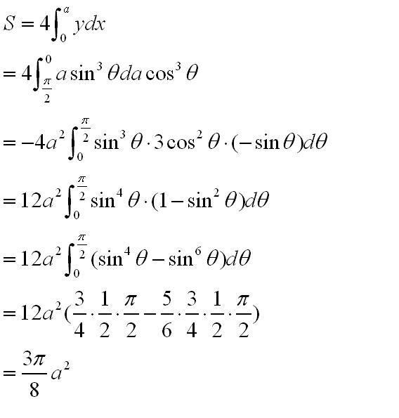
例 星形线所围图形的面积
图片尺寸500x279
26 采纳率: 48% 等级: 8 已帮助: 865人 因为,星形线的面积关于
图片尺寸568x595
flash与数学星形线
图片尺寸651x572
展开全部 这种积分求面积的题首先要画图,这是星形线的参数方程.
图片尺寸719x415
3-5定积分的若干应用ppt_word文档在线阅读与下载_免费文档
图片尺寸1080x810
求此星形线面积
图片尺寸500x468
星形线
图片尺寸1323x458
二重积分之星形线
图片尺寸640x402
星形线所围成图形的面积 - 知乎
图片尺寸590x384
星形线
图片尺寸1520x1431
《在星空中(一)》ppt课件_word文档在线阅读与下载_文档网
图片尺寸1080x810
y^(2/3) = a^(2/3) 星形线的总长 l = 6a 星形线围成的面积 s
图片尺寸450x312
求此星形线面积
图片尺寸453x148
高数,求星形线的弧长(如图),求尽可能详细的步骤
图片尺寸422x338
二重积分之星形线
图片尺寸446x322
求星型线与切线围成的面积
图片尺寸620x276
观星日记
图片尺寸533x656
星形线的这个面积到底怎么算啊两种结果哪个对错在哪
图片尺寸526x390