有向图的度

unity 物体不旋转方向 向自身0-360度方向移动
图片尺寸650x600
有向图
图片尺寸700x574
角aob=130度,角bod=110度,oc平分角aob,oe平分角aod,求角coe的度数.
图片尺寸489x426
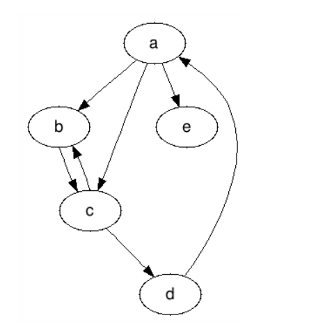
有向图出度,入度.png
图片尺寸444x469
数据结构之图的定义和相关概念
图片尺寸1602x804
基础知识 有向线段三要素:起点,方向和长度 向量两要素:大小和方向
图片尺寸1080x810
有向图示例
图片尺寸600x540
图表算法有向图
图片尺寸903x621
图一.(a)有向图 (b)无向图
图片尺寸720x450
无忧文档 所有分类 初中教育 理化生 初三理化生 向量加减法ppt 第1页
图片尺寸1080x810
总结 图(有向图,无向图,权,度,存储结构,邻接矩阵,领接表 概念)
图片尺寸805x515
展开全部 解答如图 夹角为60度 向左转 向右转
图片尺寸816x460
「动态规划」求一个图中所有点到所有点最短路径的算法,时间复杂度o
图片尺寸664x374
有向图与无向图
图片尺寸2423x1353
图结构算法学习(一)——有向图_田野得乐的博客-csdn博客_有向图
图片尺寸655x557
无向图和有向图
图片尺寸1946x760
如图所示,∠1=∠2,∠3=40°,求∠4的度数
图片尺寸1434x684
7-4-7有向图的邻接表.png
图片尺寸552x505
动态规划解——有向图中的最长路径
图片尺寸456x218
有向图中,权值的范围为0到常数w的整数,给定源点s,修改dijkstra算法
图片尺寸600x414