有向无环图

有向无环图
图片尺寸467x210
学概念找员外有向无环图amp拓扑排序
图片尺寸584x488
2.1所示的有向无环图,采用入度表的方法获取拓扑排序过程.
图片尺寸732x264
有向无环图—关键路径详解(最通俗易懂的版本)【数据结构】
图片尺寸650x355
有向无环图(dag)的一个示例
图片尺寸1771x504
有向无环图中的拓扑排序
图片尺寸1047x815
差异表达蛋白topgo富集有向无环图
图片尺寸900x900
有向无环图中两点间的简单路径数
图片尺寸419x237
有向无环图
图片尺寸796x363
有向图示例
图片尺寸600x540
八,有向无环图(dag)
图片尺寸712x545
有向无环图中的单源最短路径
图片尺寸522x273
《数据结构》-有向无环图及其应用21页ppt文档
图片尺寸960x720
67有向无环图表达式拓扑排序逆拓扑排序关键路径
图片尺寸1700x950
有向无环图的最小路径覆盖二分图模型解题
图片尺寸2560x1920
dag是什么dag有向无环图实例讲解
图片尺寸381x200
c有向无环图的实现以及拓扑排序
图片尺寸1133x1476
任何有向无环图 (dag),其顶点都可 以排在一个拓扑序列里,其拓扑排序
图片尺寸513x405
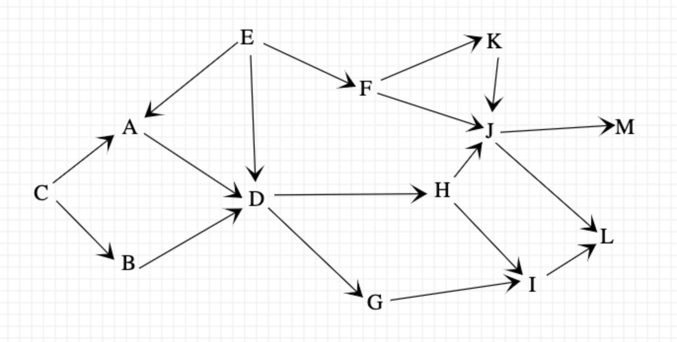
topologicalorderingindag有向无环图的拓扑排序问题
图片尺寸1372x694
有向无环图和有向有环图的计算
图片尺寸640x325