木质素结构

木质素的结构模型
图片尺寸1080x810
图 木质素的3种单体分子结构
图片尺寸1575x1181
图三,木质素的单体和典型结构
图片尺寸600x494
漆酶/木聚糖酶体系直接降解木质素的研究
图片尺寸536x606
木质素局部化学结构示意图
图片尺寸700x467
木质素结构式图片|8068-03-9结构式图片
图片尺寸605x375
云杉木质素结构示意图
图片尺寸648x648
其中部和外部则是由半纤维素和半纤维素组成的阵列木质素组成
图片尺寸1000x830
木质素腐植酸的结构特征2015年论文集
图片尺寸822x571
木质素结构
图片尺寸270x276
木质素, 8068-03-9, 结构式
图片尺寸950x629
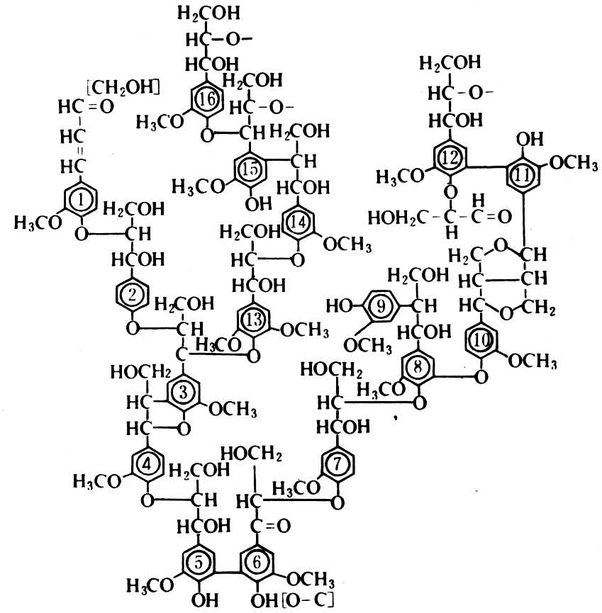
木质素
图片尺寸849x865
图1.a)三种木质素单体;b)软木木质素的典型结构.
图片尺寸576x274
图6 木质素的分子式及微观结构生物可再生聚合物已经成为用于各种不同
图片尺寸600x336
木质纤维素的结构图.
图片尺寸640x591
木质素,保留排列整齐的纤维素原纤维骨架,得到具有单向微孔结构的白色
图片尺寸660x363
生物质垃圾制沼气技术综述
图片尺寸954x464
木质素结构(木质素结构特点)
图片尺寸650x412
求个纤维素 半纤维素 木质素的立体结构图
图片尺寸787x611
水解木质素结构式
图片尺寸605x375