欧拉恒等式

三四年级的孩子能听懂 "宇宙第一公式" 欧拉恒等式吗?
图片尺寸868x534
欧拉恒等式 e^(iπ) 1=0 的证明
图片尺寸900x386
最美数学公式欧拉恒等式的诞生与欧拉公式证明
图片尺寸864x486
量子力学的本质之欧拉恒等式,数学与物理的深度融合
图片尺寸640x277
组合恒等式
图片尺寸1080x687
欧拉恒等式
图片尺寸1300x610
欧拉恒等式难道他也没弄明白,可以明确地告诉你——是的,欧拉也没弄
图片尺寸480x316
欧拉恒等式方程式数学公式函数理工牛奶咖啡陶瓷马克杯
图片尺寸800x800
欧拉恒等式的另一种解释
图片尺寸723x541
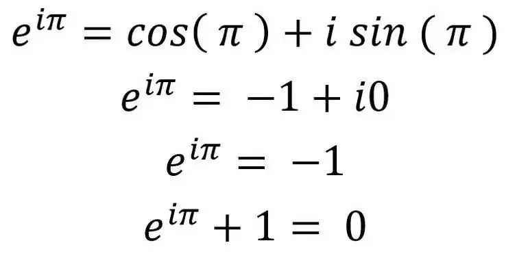
e^ix=cosx i sinx注意哦,这时候令x = π,化简,就得到了欧拉恒等式:e
图片尺寸1010x464
欧拉——数学界的英雄:欧拉公式为何被称为世界上最优美的公式?
图片尺寸640x582
欧拉恒等式:史上最完美的数学公式,没有之一!
图片尺寸640x241
6,欧拉恒等式
图片尺寸754x377
欧拉公式恒等式
图片尺寸600x300
量子力学的本质之欧拉恒等式,数学与物理的深度融合
图片尺寸640x293
世界四大数学天才,"欧拉恒等式"被称为上帝创造的公式_牛顿_高斯_力学
图片尺寸1280x822
欧拉恒等式 (词汇|数学 | 石材)
图片尺寸499x240
数论欧拉函数
图片尺寸885x737
预理解欧拉恒等式,必先理解欧拉公式.
图片尺寸259x318
欧拉恒等式最优美的数学公式罗博深
图片尺寸1043x651