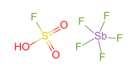
氟锑磺酸

氟锑磺酸的贮存方法
图片尺寸355x407![[chemicalforce]世界上的最强酸--氟锑酸[中英cc字幕][4k]](https://i.ecywang.com/upload/1/img1.baidu.com/it/u=3675529218,1424879832&fm=253&fmt=auto&app=120&f=JPEG?w=800&h=500)
[chemicalforce]世界上的最强酸--氟锑酸[中英cc字幕][4k]
图片尺寸1152x720
地球最强酸氟锑酸,究竟有多可怕?将勺子插进去,瞬间渣都不剩
图片尺寸1728x1080
氟锑磺酸
图片尺寸268x139
氟锑磺酸
图片尺寸605x375
锑硫酸铍钒酸钙钼酸铁三氟甲磺酸铪二氯化铬氧化亚镍次溴酸钠三氟甲烷
图片尺寸472x444
5左右,为什么对人体没有伤害|强酸|浓硫酸|氢氟酸|ph_网易订阅
图片尺寸640x427
磺酸图片_百度百科
图片尺寸167x234
酸性仅次于氟锑酸的则是氟锑磺酸,又称魔酸(sbf5·hso3f).
图片尺寸1000x669
科学小实验#地表最强酸,亿级别的酸!-度小视
图片尺寸1080x1920
地表最强酸?它叫氟锑磺酸
图片尺寸791x440
1,氟锑酸化学式:hfsbf5熔点:混合物,无固定熔点外观:无色黏稠状,特性
图片尺寸550x412
1. 氟锑酸
图片尺寸1200x678
氟锑酸的酸性非常强,是一种非常危险的化学物质,那么氟锑酸在现实生活
图片尺寸1405x791
正规化工厂_品牌厂家更放心-昆山立邦化工
图片尺寸417x523
有些氟化物是极强的路易斯酸,例如五氟化锑sbf5溶解到氟化氢中可以
图片尺寸730x710
氟锑酸的酸性非常强,是一种非常危险的化学物质,那么氟锑酸在现实生活
图片尺寸1408x792
地表最强酸?它叫氟锑磺酸
图片尺寸638x526
氟锑酸的结构
图片尺寸337x236
有机氟增效剂|价格|批发-全球塑胶网-移动端-第1页
图片尺寸750x750