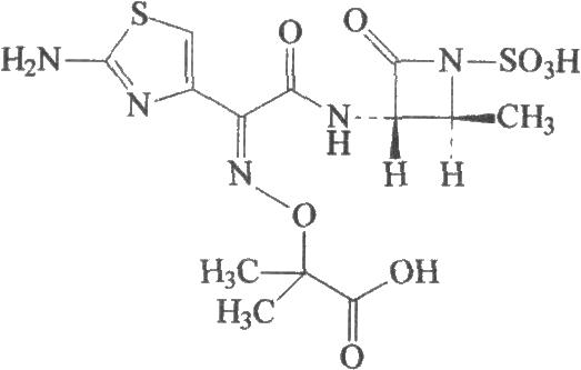
氨曲南结构式

执业西药师结构之氨曲南
图片尺寸390x256![氨曲南结构式英文别名:[2s-[2a,3b(z)]]-2-[[[1-(2-amino-4-thiazolyl](https://i.ecywang.com/upload/1/img1.baidu.com/it/u=2788982782,247801159&fm=253&fmt=auto&app=138&f=JPEG?w=400&h=328)
氨曲南结构式英文别名:[2s-[2a,3b(z)]]-2-[[[1-(2-amino-4-thiazolyl
图片尺寸400x328
氨曲南|aztreonam|78110-38-0|adamas|97%|rg|100g
图片尺寸1370x901
氨曲南结构式
图片尺寸365x365
氨曲南结构式
图片尺寸414x222
氨曲南结构式
图片尺寸250x250
氨曲南
图片尺寸434x452
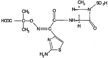
(e)-氨曲南结构式
图片尺寸605x375
氨曲南主环结构式
图片尺寸250x250
氨曲南结构式图片|2595-54-2结构式图片
图片尺寸605x375
氨曲南分析对照品hplc98
图片尺寸600x600
现货库存,交货及时,并可根据客户提供结构式进行氨曲南杂质定制合成
图片尺寸500x500
词条图片 2/7氨曲南结构式信息图片尺寸244x138 来自
图片尺寸244x138
氨曲南/精氨酸, 104184-69-2, 结构式
图片尺寸391x486
注射用氨曲南
图片尺寸394x226
4.2结构式aztreonam4.1.3英文名anqunan4.1.2汉语拼音氨曲南4.1.
图片尺寸523x333
氨曲南酰胺结构式图片
图片尺寸605x375
氨曲南
图片尺寸220x115
氨曲南
图片尺寸693x499
注射氨曲南
图片尺寸350x187