波利亚模型

波利亚瓮模型(urn model) - 1
图片尺寸1152x720
波利亚瓦罐模型
图片尺寸1451x799
波利亚坛子模型
图片尺寸474x342
网络的规划设计,因此提出了一种针对群体移动用户的空间轨迹流动模型
图片尺寸296x305
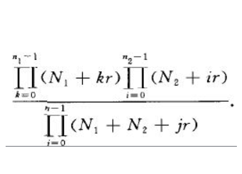
1.2 波利亚(polya)坛子抽样模型 考虑一个装有红,黄两色球的坛子.
图片尺寸1080x810
borya这只兔子哭唧唧叫波利亚
图片尺寸1080x1440
波利亚的数学解题思想在求解一元一次方程实际问题中的应用
图片尺寸632x331
罐子模型以及波利亚罐子模型附加对论文的分析
图片尺寸650x463
结合最大似然算法和波利亚罐模型的全色遥感图像分类
图片尺寸1780x708
罐子模型以及波利亚罐子模型附加对论文的分析
图片尺寸650x499
波利亚对教师日常工作的看法教师十诫
图片尺寸1080x608
波利亚解题模型在高中数学解题教学中的运用分析
图片尺寸935x1163
罐子模型以及波利亚罐子模型(附加对论文的分析)_波利亚模型-csdn博客
图片尺寸668x490
罐子模型以及波利亚罐子模型附加对论文的分析
图片尺寸650x429
波利亚罐子模型证明
图片尺寸776x1031
罐子模型以及波利亚罐子模型附加对论文的分析
图片尺寸650x578
乔治波利亚怎样解题告诉我们的四件事
图片尺寸740x1046
第一个教我们解题的人波利亚
图片尺寸640x964
怎样解题 波利亚
图片尺寸695x538
怎样解题(波利亚)
图片尺寸692x1006