流体力学公式

工程流体力学公式
图片尺寸920x1302
最新流体力学Ⅰ主要公式及方程式
图片尺寸920x1302
流体力学公式doc
图片尺寸920x1302
流体力学与液压传动公式
图片尺寸920x1191
流体力学公式总结
图片尺寸920x1302
《流体力学》Ⅰ主要公式和方程式.doc
图片尺寸993x1404
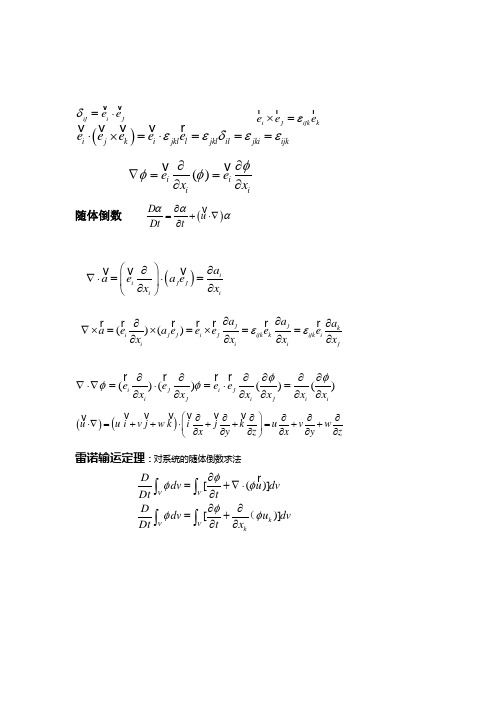
流体力学公式 - 百度文库
图片尺寸496x702
流体力学第8,10,11章课后习题答案
图片尺寸624x859
流体力学公式总结doc9页
图片尺寸792x1120
专升本流体力学公式汇总
图片尺寸1080x1440
流体力学d简单总结的一些公式
图片尺寸1080x1439
力学学习复习重点--质点运动学,动量守恒,牛顿定律,流体力学
图片尺寸640x382
物理力学计算公式
图片尺寸920x1302
流体力学公式 - 百度文库
图片尺寸496x702
流量与管径压力流速之间关系计算公式
图片尺寸920x1303
流体力学基础
图片尺寸1651x916
流量和管径压力流速之间关系计算公式
图片尺寸920x1302
完整版流量与管径压力流速之间关系计算公式
图片尺寸920x1302
流体力学讲义-第五章 相似原理与量纲分析
图片尺寸375x331
差压式流量计计算公式和密度补偿公式(1)
图片尺寸1518x2147