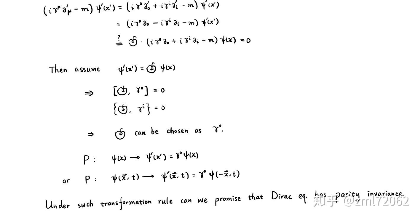
狄拉克方程

狄拉克方程ppt
图片尺寸1080x810
狄拉克方程ppt
图片尺寸1080x810
深度科普:带你看懂狄拉克方程,物理学中的神来之笔!
图片尺寸1251x572
狄拉克方程
图片尺寸1017x364
量子力学之薛定谔方程与狄拉克方程ppt课件
图片尺寸860x4142
狄拉克方程自由粒子问题
图片尺寸1920x1440
狄拉克方程量子力学与狭义相对论的第一次融合
图片尺寸640x440
海外直订the dirac equation 狄拉克方程
图片尺寸800x800
131狄拉克方程
图片尺寸1780x2703
有限深势阱的讨论ppt 量子力学 一维有限深势阱的讨论 可得薛定谔方程
图片尺寸1080x810
y量子物理-第2章ppt
图片尺寸1080x810
狄拉克δ函数(dirac delta function)
图片尺寸490x283
狄拉克方程
图片尺寸209x99
量子场论七旋量场狄拉克方程的经典对称性
图片尺寸1417x736
狄拉克和狄拉克方程在大概相同的时间,理论物理学家paul adrien
图片尺寸417x396
第十一章 化学动力学 复习 级 数 0 速率方程 微分式 -dca/dt=k 积分
图片尺寸1080x810
狄利克雷积分 - 知乎
图片尺寸1242x2687
计算三重积分 ∫∫∫zdv,其中Ω是由曲面x^2 y
图片尺寸402x480
教育 工学 实际流体动力学基础ppt §5-1实际流体的运动微分方程
图片尺寸1080x810
运动势阱中的相对论粒子的狄拉克方程解的时间项满足贝塞尔方程,空间
图片尺寸957x1280