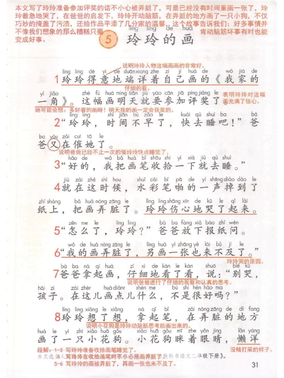
玲玲的画讲解

二年级语文上册, 第5课《玲玲的画》, 彩色板书 思维导图 - 抖音
图片尺寸1920x1654
部编版二年级上册第5课《玲玲的画》图文讲解 知识要点
图片尺寸619x869
2022人教版小学二年级语文上册《玲玲的画》ppt课件(带内容)_第1页
图片尺寸2000x1125
《玲玲的画》板书.#语文 - 抖音
图片尺寸1920x1440
课文第五课玲玲的画
图片尺寸1440x1920
二上第5课《玲玲的画》课堂笔记 #小学语文课堂笔记# #小学语文怎么学
图片尺寸961x1280
小学语文人教二年级上册玲玲的画课件_第4页
图片尺寸1500x1125
课文5 玲玲的画.小学语文二年级上册 #语文教材 #语文课文 - 抖音
图片尺寸2122x3074
二年级上册语文《玲玲的画》生字预习,课堂笔记,课内重点,课后 - 抖音
图片尺寸1440x2044
玲玲的画李讲解学习_第1页
图片尺寸1500x843
二年级语文《玲玲的画》课文全解,肯动脑筋,坏事也能变成好事
图片尺寸640x409
《玲玲的画》二年级上册小学语文开学预习同步课文动画——让语文更有
图片尺寸1440x1080
二上语文5课玲玲的画板书设计
图片尺寸1080x1439
课文5 《玲玲的画》
图片尺寸1080x810
小学语文二年级上册课文5《玲玲的画》生字动画笔顺详解
图片尺寸960x720
二上第5课《玲玲的画》课堂笔记 #小学语文课堂笔记# #小学语文怎么学
图片尺寸961x1280
小学二年级(上)语文期末复习,第五课《玲玲的画》.
图片尺寸3134x1960
小学语文 二年级上册第三单元第五课 《玲玲的画》课堂笔记, - 抖音
图片尺寸1440x2560
语文二年级上册031玲玲的画
图片尺寸1080x1920
32.《玲玲的画》,讲解(二),小学二年级语文上册(人教版).
图片尺寸1080x675