甲壳素结构式

p data-id="gntbdv7cu4">甲壳质又称甲壳素,几丁质,英文名chitin,是
图片尺寸852x732
甲壳素分子
图片尺寸1100x1100
甲壳素结构式
图片尺寸250x250
甲壳素
图片尺寸300x300
p data-id="gnwyk9rehl">甲壳素是一种天然多分子 a target="_blank"
图片尺寸690x393
甲壳素
图片尺寸472x409
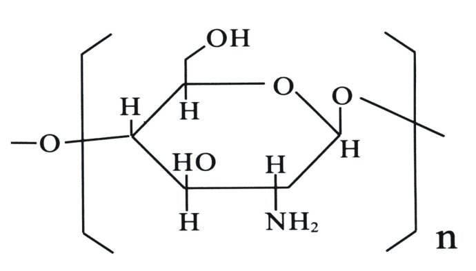
甲壳素的结构式如下
图片尺寸596x492
甲状腺素结构式_300-30-1结构式
图片尺寸400x400
甲壳素|几丁质
图片尺寸553x480
聚合度为n为106225,结构式如下所示,将甲壳素溶解于n,n62二甲基乙
图片尺寸1000x605
正在加载甲壳素分子式甲壳素的化学结构和植物纤维素非常相似.
图片尺寸300x216
甲壳素,壳聚糖,羧甲基壳聚糖结构式
图片尺寸575x338
甲壳素
图片尺寸365x365
上海谱振保质保量可溶性甲壳素cas9012764chitosan
图片尺寸399x347
甲壳素_壳聚糖的化学改性及其衍生物应用研究进展
图片尺寸1638x461
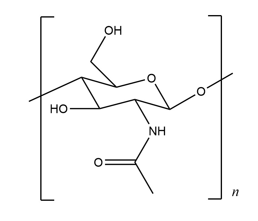
p data-id="gncqdkxzvi">壳聚糖(chitosan)甲壳素n-脱乙酰基的产物
图片尺寸800x247
真正的抗菌纤维——甲壳素/甲壳胺纤维
图片尺寸552x615
以下示出甲壳素,纤维素,壳聚糖的结构示意图.
图片尺寸369x380
甲状腺素14101614181014151419 141114
图片尺寸605x375
一种食用真菌天然成分甲壳素纳米晶的提取方法与流程
图片尺寸885x451