电梯井规格

电梯轿厢井道对比
图片尺寸1096x447
通力住宅楼电梯井道尺寸
图片尺寸763x1003
乘客用电梯-标准型,电梯尺寸规格表
图片尺寸700x1050
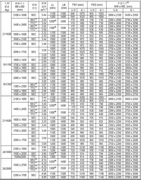
日立电梯 型号 轿厢 井道参数
图片尺寸1126x610
家用电梯常用到的尺寸有哪些.
图片尺寸1242x1660
通力住宅楼电梯井道尺寸.doc 5页
图片尺寸792x1120
电梯 井道标准尺寸
图片尺寸1096x407
电梯井道尺寸表格模板
图片尺寸920x1302
通力住宅楼电梯井道尺寸
图片尺寸773x1061
通力住宅楼电梯井道尺寸.doc
图片尺寸792x1120
无底坑平台式家用电梯
图片尺寸500x411
gulion巨菱最新家用别墅电梯井道预留尺寸详情表
图片尺寸600x429
住宅电梯井道尺寸
图片尺寸469x600
免费文档 所有分类 工程科技 机械/仪表 电梯井道规范 电梯规格及井道
图片尺寸814x1169
蒂升朗瑞h300家用电梯井道和轿厢尺寸
图片尺寸595x793
担架电梯尺寸.doc 4页
图片尺寸792x1120
gulion巨菱工程师提供39款尺寸,解决别墅安装电梯难题!
图片尺寸600x462
电梯- 热门商品专区
图片尺寸1080x1288
别墅电梯广东哪家好?
图片尺寸1408x1026
电梯井道尺寸表
图片尺寸860x1216