盐的化学式

酸碱盐的化学式
图片尺寸920x1302
盐的化学式盐的化学式有哪些
图片尺寸280x233
与盐相关的化学方程式
图片尺寸920x1302
硝酸盐的化学公式.图表.独立背景上的矢量插图
图片尺寸700x700
酸碱盐的化学方程式.doc 8页
图片尺寸993x1404
鲁教版九年级化学 第八单元 海水中的化学 第三节 海水制碱(2)ppt
图片尺寸1080x810
1,食盐:主要成分:氯化钠,化学式nacl2,二氧化碳固体:化学式co2,俗称
图片尺寸496x702
常见的化学式
图片尺寸594x960
酸碱盐化学方程式大全.pdf 4页
图片尺寸804x1137
初中化学酸碱盐的化学方程式pdf7页
图片尺寸972x729
【吐血整理】高中化学常考化学反应方程式(五)含氧酸,碱,盐
图片尺寸510x455
初中化学方程式大全酸碱盐水
图片尺寸726x380
化学中,常见的盐的性质
图片尺寸495x186
(13分)硫酸亚铁铵,俗称摩尔盐,化学式为(nh4)2fe(so4)2·6h2o,浅蓝
图片尺寸973x472
硝酸盐的化学公式信息图
图片尺寸866x1200
高氯酸盐
图片尺寸250x250
高氯酸铅盐(2:1)
图片尺寸225x200
化学性质关 金属 a 酸 c 碱 b 盐 d
图片尺寸1080x810
初中化学考点总结:盐
图片尺寸640x215
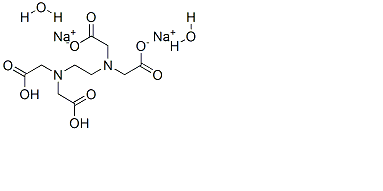
p>乙二胺四乙酸二钠盐是一种化学物质,分子式是c10h14n2na2o8·2h2o.
图片尺寸383x191