相对式

相对论速度公式有什么用呢?
图片尺寸574x374
, 谈判座次排列 相对式(方桌) 相对式(方桌) 宾1 主宾 宾2 主3 主1
图片尺寸1080x810
式(18)常被人们称为狭义相对论(sr)质速公式,是不确切的.
图片尺寸770x294
初中常见元素原子团名称化学式化合价相对原子质量一览表
图片尺寸920x1302
元素的相对原子质量表
图片尺寸1130x607
相对性学 1----相对性的起源
图片尺寸357x343
涧边幽湖
图片尺寸977x472
初中常见元素_原子团名称_化学式_化合价_相对原子质量_一览表
图片尺寸621x1028
求对数式
图片尺寸2268x1778
初中常见元素_原子团名称_化学式_化合价_相对原子质量_一览表 2
图片尺寸624x1022
烹饪美术1ppt
图片尺寸1080x810
2)难以排列座次时:如,客人的地位都差不多的情况 2,相对式(面对面而
图片尺寸475x319
初中常见元素,原子团名称,化学式,化合价,相对原子质量,一览表
图片尺寸621x1030
相对补集
图片尺寸506x410
是物体运动速度的上限,想要证明这点,我们还需要狭义相对性原理的帮助
图片尺寸664x371
图案的组织形式ppt
图片尺寸1080x810
初中常见元素原子团名称化学式化合价相对原子质量一览表
图片尺寸920x1302
其相对分子质量为104.碳的质量分数为92.3%.
图片尺寸373x226
中国传统纹样100张,很美很中国!
图片尺寸458x596
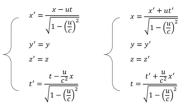
狭义相对论的基本原理洛伦兹变换式
图片尺寸920x690