硝化反应

2,与混酸的硝化反应(苯及其同系物,苯酚,烷烃等均能发生硝化反应).
图片尺寸587x270
硝化反应
图片尺寸366x297
硝化反应
图片尺寸1102x873
试卷 苯的化学性质——硝化反应 现象:加热一段时间后,反应 完毕,将
图片尺寸1080x810
污水处理技术之短程硝化反硝化概述
图片尺寸720x494
硝化反应
图片尺寸520x300
苯硝化反应实验如下
图片尺寸238x262
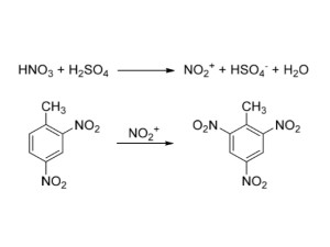
甲苯的硝化反应式及实验数据如下所示实验情况说明i甲苯比苯ppt课件
图片尺寸920x690
反硝化作用(植物 名词)
图片尺寸1121x725
污水处理中的硝化与反硝化是指什么
图片尺寸550x328
反硝化是no3-在细菌的作用下,经no2-,no,n2o连续4步反应还原成n2.
图片尺寸763x179
硝化反应 苯与浓硝酸, 浓硫酸的混合物在 60℃时生成一取代 硝基苯,当
图片尺寸1080x810
请回答下列问题: (1)苯的硝化反应是在浓硫酸和浓硝酸的混合酸中进行
图片尺寸144x275
硝化反应
图片尺寸300x225
反硝化过程释放氧化亚氮气体和氮气
图片尺寸630x278
浅谈神秘的反硝化系统
图片尺寸505x248
为什么苯与浓硝酸在浓硫酸催化下及50℃-60℃的反应是取代反应?
图片尺寸557x231
一文读懂硝化反硝化|亚硝酸盐|硝化|反硝化|硝化反应
图片尺寸641x246
苯的硝化反应实验
图片尺寸171x294
污水处理厂实习讲座 反硝化 缺氧条件下 no2no3no2- nh2oh n 2o 有
图片尺寸1080x810